资产评估相关知识考点「资产评估学复习要点」
一、 资产特点及类型:
特点:资产必须是可被利用并能带来经济利益的资源。
资产由经济主体控制
资产必须能用货币计量
类型:
1.按被评估资产的存在形态分类 :有形资产、无形资产
2.按资产能否独立存在分类:可确指资产、不可确指资产
3.按是否具有综合获利能力分类:单项资产、整体资产
二、资产评估的构成要素:
1.资产评估主体 2.资产评估客体 3.资产评估依据 4.资产评估目的
5.资产评估原则 6.资产评估程序 7.资产评估价值类型 8.资产评估方法
三、资产评估的假设
(一)继续使用假设
继续使用假设 是指资产将按照现行用途继续使用,或转换用途继续使用。
继续使用假设包括三种继续使用形式:1、在用续用2、转用续用3、移地续用
(二)公开市场假设
公开市场假设 是指假定在市场上交易的资产,资产交易双方彼此地位平等,彼此都有获取足够市场信息的机会和时间,以便对资产的功能、用途及其交易价格等做出理智判断。买卖双方的交易行为都是在自愿、理智的,而非强制或受限制的条件下进行的。
(三)清算假设
清算假设 是指资产所有者在某种压力下,如破产、抵押权实施等,将被迫以协商或以拍卖的方式,强制将其资产出售。
四、资产评估的工作原则
1.独立性原则 2.客观性原则 3.科学性原则 4.专业性原则
五、资产评估的经济原则
1.贡献原则 2.替代原则 3.预期收益原则 4.最佳使用原则
六、资产评估的程序
1.明确资产评估业务基本事项
2.签订资产评估业务约定书
3.编制资产评估工作计划
4.对待评估资产的核实与实地查勘
5.收集与资产评估有关的资料
6.评定估算
7.编制和提交评估报告
8.资产评估工作底稿归档
七、 资产实体性贬值的测算方法有哪些?如何测算?
1.观察法 计算公式为: 资产实体性贬值=重置成本×实体性贬值率
=重置成本×(1—成新率)
2.使用年限法
资产的实体性贬值=(重置成本—预计残值)×(实际已使用年限÷总使用年限)
总使用年限=(实际已使用年限 尚可使用年限)
实际已使用年限=名义已使用年限×资产利用率
资产利用率=截止评估日资产累计实际利用时间÷截止评估日资产累计法定利用时间
八、市场法差异调整因素主要包括哪几类?
1)时间因素 2)地域因素 3)功能因素 4)交易因素
九、收益法应用的前提条件
1、被评估资产必须是能用货币衡量其未来期望收益的单项资产或整体资产。
2、资产所有者所承担的风险是能用货币衡量的。
3、资产预期获利年限可以预测,纯收益为正。
十、折现率的估算方法有哪些
(一)市场比较法
(二)资本资产定价模型法
期望回报率=无风险报酬率 资产风险报酬率
资产风险报酬率=(资产平均回报率-无风险利率)×β
(三)加权平均资本成本法
加权资本成本(折现率)=权益成本×权益比 负债成本×负债比
如果将利息可以冲减企业的应纳税所得额考虑进去
加权资本成本=权益成本×权益比 税前负债成本×(1-所得税边际税率)×负债比
十一、机器设备评估程序
1.评估准备阶段: 1指导委托方填写和准备资料文件
2收集与评估活动相关的价格资料 3制定评估方案
2.现场工作阶段: 1逐台(件)核实评估对象 2对待评估设备进行分类
3设备鉴定
3.确定设备评估经济技术参数阶段
4.评定估算阶段
5.编写评估报告及评估说明阶段
6.评估报告的审核和报出阶段
十二、机器设备评估现场工作阶段的工作内容
1逐台(件)核实评估对象 2对待评估设备进行分类 3设备鉴定
十三、机器设备成新率的估测方法有哪些?
1.最小年平均费用法 2.低劣化数值法
十四、影响房地产价格的因素
(一)一般因素
1、经济因素:经济发展因素 、财政金融因素、 产业结构因素
2、社会因素:人口因素、家庭规模因素、房地产投机因素、社会福利因素、
教育科研水平和治安因素
3、行政因素:土地使用制度与住房制度,城市规划、土地利用规划,
税收制度、投资倾斜、优惠政策, 行政隶属关系变更,交通管制
4、心理因素
(二)区域因素
1、商业服务繁华因素 2、道路通达因素 3、交通便捷因素
4、城市设施状况因素 5、环境状况因素
(三)个别因素
1、土地的个别因素:区位,面积、宽度、深度, 形状,地力、地质、地势、地形,
容积率 ,用途,土地使用年限
2、建筑物的个别因素:面积、结构、材料,设计、设备等是否良好 ,施工质量,
法律限制,建筑物是否与周边环境协调
十五、土地使用权价格的成本构成:
土地价格=土地取得费 土地开发费 利息 利润 土地增值收益
十六、经济耐用年限的确定原则:
1.建筑物的建设期不计入经济耐用年限,即建筑物的经济耐用年限应从建筑物竣工验收合格之日起计。
2.建筑物经济耐用年限短于土地使用权年限时,应按建筑物经济耐用年限计算贬值。
3.建筑物经济耐用年限长于土地使用权年限时,应按土地使用权年限计算贬值。
4.建筑物出现于补办土地使用权出让手续之前,其经济耐用年限早于土地使用权年限而结束时,应按建筑物经济耐用年限计算贬值。
5.建筑物出现于补办土地使用权出让手续之前,其经济耐用年限晚于土地使用权年限而结束时,应按建筑物实际已使用年限加土地使用权剩余年限计算贬值。
十七、无形资产的分类及特点
分类:1.按存在期限,分为有限期无形资产和无限期无形资产
2.按能否独立存在,分为可确指的无形资产和不可确指的无形资产。
3.按性质和内容构成,分为知识型无形资产、权力型无形资产、关系型无形资产、结合型无形资产。
4.按企业取得无形资产的方式分类可分为自创的、外购的
5.按无形资产有无专门法律保护分类,分为有法律保护的和无法律保护的。
特点:
1.非实体性 2.价值形成的积累性 3.开发成本界定的复杂性
4.价值较大的不确定性 5.共益性
十八、影响无形资产价值的因素
1、 开发成本(取得成本) 2、机会成本 3、效益因素 4、技术成熟程度
5、 剩余经济使用年限 6、转让内容因素 7、同类无形资产市场供需状况
8、同类无形资产的发展及更新趋势
十九、最低收费额的确定方法
最低收费额的决定因素: 开发成本 、机会成本
公式 :
无形资产最低收费额 =开发成本净值×开发成本分摊率 无形资产转让的机会成本
=开发成本净值×开发成本分摊率 无形资产转出的净减收益 转让成本
编辑
添加图片注释,不超过 140 字(可选)
开发成本分摊率=
二十、最低收费额的决定因素: 开发成本 、机会成本
二十一、利润分成率的确定方法有哪些?如何确定?
(1)边际分析法 边际分析法是以使用无形资产前后企业实现的利润差额即新增利润,占无形资产使用后企业总利润的比例来确定利润分成率的方法。无最低收费额时:
编辑
添加图片注释,不超过 140 字(可选)
无形资产利润分成率=
(2)约当投资分成法 约当投资分成法是将卖方的无形资产投资与买方的资产投资,按照各自的适用成本利润率,折合成约当投资量,然后按照各自约当投资量的比例关系确定利润分成率的方法。
无形资产的约当投资量 = 无形资产的重置成本×(1 适用成本利润率)
买方资产的约当投资量 = 买方投入的总资产的重置成本×(1 适用成本利润率)
编辑
添加图片注释,不超过 140 字(可选)
无形资产利润分成率=
(3)市场比较法 市场比较法是通过对与待评估资产类似的资产交易市场进行调查分析,来确定分成率。
二十二、商誉的评估方法有哪些及公式
1、超额收益法
添加图片注释,不超过 140 字(可选)
添加图片注释,不超过 140 字(可选)
商誉的价值= =
2、割差法
商誉的价值=企业整体资产评估价值 — 企业各单项资产评估价值之和
二十三、上市债券的评估方法
一般采用现行市价法评估,即按照评估基准日的收盘价确定评估值。
非上市债券的评估 :一般采用收益现值法进行评估
二十四、上市股票的评估方法
选择价格应考虑的因素:
1、持股者的目的与持有期限。
持股者如果是为了短期投资,应以市场价格为主;
上市股票评估值 = 股票股数×评估基准日该股票的市场收盘价
如果是为了长期投资,则应以股票的内在价值为主,用收益法进行评估,评估基准日市场价格仅做参考。
2、二是股市发育是否成熟,股票能否自由交易。
非上市股票的评估:一般采用收益现值法。
二十五、简述材料评估的方法
1、近期购进库存材料
评估时可采用成本法,也可采用市场法。价格为账面价值。
如果原材料是从外地购进的,应将由被评估材料分摊的运杂费计入评估值;如果是从本市购进的,评估时可忽略不计。
2、购进批次间隔时间长、价格变化大的库存材料的评估
一是以最接近市场价格的那批材料的价格或直接以市场价格作为评估的计价标准;
二是以统一的评估时点为基准日,利用物价指数对不同批次的原材料的账面价值加以调整。
评估值=账面价值×评估时物价指数/购进时物价指数
3、购进时间早、市场上已脱销、没有现行市价的材料
(1)通过寻找替代品的价格变动资料来修正价格。
(2)在分析市场供需的基础上,确定该材料的供需变化,并以此来修正材料价格。
(3)通过市场上同类商品的平均物价指数进行评估
4、超储积压物资的评估
首先应对其数量和质量进行核实和鉴定,
然后区别不同情况进行评估。
对于产权变动的企业资产,可以采用清算价格法
对于继续生产经营,仍有可能使用的资产,可在原账面价值的基础上,对其中失效、变质、残损、报废、无用的部分,在分析计算并扣除相应的贬值额后确定评估值。
5、盘盈、盘亏材料的评估
盘盈材料由于没有历史成本资料,应采用重置成本法或现行市价法评估。
而盘亏材料应从待评估材料的申报额中将其扣除,评估人员要在工作底稿中作相应纪录。
二十六、应收账款及预付账款的评估步骤
1、确定应收账款的账面价值
2、确认已确定的坏账损失。
3、确定预计坏账损失,即判断应收账款回收的可能性。
二十七、企业价值的含义和表现形式
1.概念:
企业价值,是该企业所有的投资人所拥有的对于企业资产索取权价值的总和。
注意理解:
企业的价值是企业的公允市场价值;
企业的价值基于企业的盈利能力;
账面价值和公司市值
企业的账面价值是一个以历史成本为基础进行计量的会计概念,可以通过企业的资产负债表获得。
公司市值是指上市公司全流通股股票的市场价格。
2、表现形式
企业价值的表现形式有企业的资产价值、企业的投资价值和企业的股东权益价值等。
(1)企业资产价值是企业所拥有的所有资产,包括各种权益和负债的价值总和。
(2)企业的投资价值即前面所讲的企业价值。它等于企业的资产的价值减去无息流动负债价值,或等于权益价值加上付息债务价值。
(3)企业权益价值代表了股东对企业资产的索取权,它等于企业的资产价值减去负债价值。
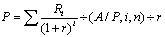
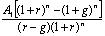
二十八、什么是年金资本化法 ,写出其公式
基本思路:是根据企业以往的生产经营状况和外部条件,预测企业未来每年的年金收益,然后按一定的本金化率将其资本化处理为现值,作为企业价值的评估值。
适用范围:它适用于今后若干年内生产经营和收益水平较稳定的企业采用。
添加图片注释,不超过 140 字(可选)
公式: P: 企业重估价值 A:企业每年的年金收益 r:本金化率
添加图片注释,不超过 140 字(可选)
企业前n年预期收益折现值之和 投资回收系数
二十九、简述分段法的基本思路
基本思路:将持续经营企业的收益预测分为前后两段, 对于前段(一般取5年)的预期收益, 采取逐年预测并折现累加的方法处理,得到其收益现值。对于后一段(从第6年开始到未来无穷远)假定企业的年收益水平保持不变,或等额或按一定比率增长变化,将这一等额收益或增长变化了的收益进行还原及折现。最后将前后两段收益现值相加,即为企业整体评估值。
一、资产评估的特点:
1.时点性(现实[时]性) 2.市场性 3.预测性 4.公正性 5.咨询性
二、资产评估与会计计价的区别与联系
(一)区别:1、执行操作者不同: 资产评估: 具有资产评估资格的社会中介机构
会计计价 : 企业的财会人员或个人理财人员
2、目的不同: ①评估和咨询是资产评估的基本功能。资产评估目的在于为资产的交易和投资提供公平的价值尺度。
②反映和监督是会计的基本职能。目的是为投资者、债权人和经营管理者提供有效的会计信息。
3、前提条件不同: 资产评估发生的前提条件通常为资产将要发生产权变动会计主体变动或者作为会计主体的企业生产经营活动发生中断等。
会计计价则以会计主体不变,持续经营为假设前提,严格遵循历史成本原则
(二)联系:
会计计价和财务报告需要利用资产评估的结论,而资产评估需要参考会计数据资料。
三、资产评估标准
(一)以市场价值为基础的评价标准。
(二)以非市场价值为基础的评估标准。
(三)以财务报告及会计事项为目的的资产评估标准。
(四)贷款担保、抵押和债券的评估标准。
四、重置成本的估算方法:
1.重置核算法 2.物价指数法 3.功能价值法 4.规模经济效益指数法 5.统计分析法
五、资产的功能性贬值测算方法
功能性贬值有两种表现形式:
(1)超额投资成本 超额投资成本=复原重置成本-更新重置成本
(2)超额运营成本 超额运营成本=各年净超额运营成本×折现系数
六、资产的经济性贬值的测算方法
一般情况下,当资产使用基本正常时,不计算经济性贬值。
对不能直接计算收益的单台单项资产,进行评估时不计算经济性贬值。
七、市场法的基本前提及主要公式
基本前提:1、要有一个活跃的公开市场;
2、公开市场上要有可比较的资产及其交易活动。
基本原则:替代原则
评估价值 =市场参照交易价格 ∑评估对象优于参照交易物因素引起的价格差额 —∑评估对象劣于参照交易物因素引起的价格差额
评估价值=参照交易价格×修正系数
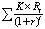
八、收益法常用公式
添加图片注释,不超过 140 字(可选)
(一)在未来收益不等额的情况下 V=
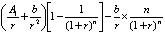
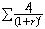
(二)在年资产净现金流不变时 V=A× [1-1/(1 r)n] / r
如果评估对象的收益年限为无穷大时,n→∞时, V= A/r
添加图片注释,不超过 140 字(可选)
添加图片注释,不超过 140 字(可选)
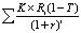
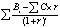
(三)在年资产净现金流等额递增时, V=
如果评估对象的收益年限为无穷大时,n→∞时, V=
添加图片注释,不超过 140 字(可选)
添加图片注释,不超过 140 字(可选)
(四)在年资产净现金流等比率递增时, V=
如果评估对象的收益年限为无穷大时,n→∞时, V=
(五)预期资产将在资产评估基准日后第j年末以价格Vj出售时
(六)混合法
十、机器设备的分类
1.按其在再生产中的作用分类:生产工艺类设备、辅助生产设备、服务设备
2.按其使用范围分类:通用设备、专用设备、非标准设备
3.按国家固定资产分类标准分类:通用设备、专用设备、交通运输设备、电器设备、电子产品及通信设备、仪器仪表、计量标准器具及量具、衡器
4.按现行会计制度分类:生产用机器设备、非生产用机器设备、租出机器设备、未使用机器设备、不需用机器设备、融资租入机器设备
十一、典型机械工业企业重置成本的构成:
现行购置成本、运杂费、设备基础费、设备安装费和其他合理费用。
进口设备还包括设备进口的从属费用,如:
海外运费、海外保险费、进口关税、增值税、代理费、银行手续费等。
十二、房地产的特点:
1.不可移动性(位置固定性) 2.耐用(耗)性 3.异质性(差异性、个别性)
4.高价值性 5.供给有限性 6.投资与消费双重性 7.房地产实体构成的二元性
十三、土地及房地产价格种类
(一)土地价格种类
1、按照价格形成方式不同:市场价格、市场价值 、评估价格
2、按照土地权属不同分类:土地所有权价格 、土地使用权价格
3、根据我国目前的地价体系分类:1)基准地价 2)标定地价 3)出让底价
4)转让价格 5)其他价格
4、根据计算单位不同分类:总地价、单位价格、楼面地价又称单位建筑面积地价
(二)房地产价格种类
1、商品房价格和经济适用房价格
2、标准价和成本价
3、廉租金、准成本租金、成本租金和市场(理论)租金
十四、房地产成本重置成本的构成:
房地产重置成本=土地取得费 开发成本 管理费用 投资利息 销售税费 开发利润
十五、建筑物成本估算方法有哪些?
1.工料测量法 2.分部分项法 3.单位比较法 4.指数调整法
十六、房地产成本法评估中建筑物贬值的估算方法有哪些?
1、直线贬值法 2、双倍余额递减贬值法 3、成新折扣法
十七、简述假设开发法的基本原理及计算公式:
公式: 地价=预期楼价-建筑费-专业费-销售费用-利息-利润-税费
专业费=建筑费×I
利息利润=(地价 建筑费 专业费)×P
若所有指标数值均是评估基准日的现值,则不需计算利息,若所有指标均是终值,则需算利息
理论根据: 是18世纪英国古典经济学家亚当·斯密所著的《国民财富的性质和原因的研究》一书的地租决定理论。
十八、无形资产价值评估的前提和评估对象
前提:1.无形资产能够带来超额利润 2.无形资产能够带来垄断收益 3.以产权变动为前提
评估对象:无形资产的获利能力。
十九、无形资产转让价格的支付方式
无形资产转让价格的支付方式分为总付、提成支付、混合支付三类。
二十、专利权的特点
1)独占性 (排他性) 2)地域性 3)时间性
我国《专利法》规定专利权分为发明专利保护期限20年、实用新型专利和外观设计保护期限为10年。
二十一、专利使用权转让合同应包括的内容
(1)使用权限 (独家使用权 、排他使用权 、普通使用权 、回馈转让权 )
(2)地域范围
(3)时间期限
(4)法律和仲裁
二十二、商誉的特点
1、商誉不能离开企业而单独存在,不能与企业可确指得资产分开出售。
2、商誉是多项因素作用形成的结果,但形成商誉的个别因素,不能以任何方法单独计价。
3、商誉本身不是一项单独的、能产生收益的无形资产,而只是超过企业可确指的各单项资产价值之和的价值。
4、商誉是企业长期积累起来的一项价值。
二十三、专利使用权限的分类
独家使用权 、排他使用权 、普通使用权 、回馈转让权
二十四、简述金融资产的分类
1.金融资产可以按照合约的性质不同将它们分为债权或股权。
2.根据金融资产期限的长短,可以将它们划分为货币市场(1年以内)的融资工具和资本市场的融资工具。
二十五、金融资产评估的特点
1.是对投资资本的评估。
2.是对被投资者的偿债能力和获利能力的评估。
二十六、流动资产的分类
(一)按流动资产所处的领域分类可分为生产领域流动资产和流通领域流动资产。
(二)按现行会计制度分类分为货币资金、应收及预付款项、交易性金融资产、存货。
(三)按流动资产在生产经营中的形态和作用分类分为储备资产、生产资产、成品资产、结算资产和货币资产。
(四)按流动资产存在的形态分类分为货币类流动资产 、实物类流动资产 、债权类流动资产 、其他流动资产
二十七、简述产成品及库存商品评估的成本法
1、评估基准日与产成品完工时间较接近,并且成本费用的物价变化不大时,可以直接按产成品的账面成本确定其评估值。
产成品的评估值 = 产成品的数量×单位产品的账面成本
2、评估基准日与产成品完工时间相距较远,并且成本费用的物价变化大时
产成品的评估值= 产成品实有数量×(合理材料工艺定额×材料单位现行价格+合理工时定额×单位小时合理工时工资、费用)
或:产成品评估值= 产成品实际成本×(材料成本比例×材料综合调整系数+工资、费用成本比例 ×工资、费用综合调整系数)
二十八、应收账款及预付账款的评估方法
基本公式 :评估值= 应收账款账面价值 — 已确定的坏账损失 — 预计的坏账损失
坏账损失额的确定方法:
1.坏账估计法
2、账龄分析法
注意:在对应收账款评估后,对于“坏账准备”科目应按零值计算,评估结果中没有此项目。
二十九、企业的概念及特点
(一)概念
企业 是为满足社会需求并获取盈利而从事生产、流通、服务等经济活动,独立核算、自主经营、自负盈亏,具有法人资格的经济组织。
(二)特点
1、独立性 2、社会性 3、持续经营性 4、盈利性 5、整体性
三十、什么是企业收益?应如何界定?
企业收益 是指企业在日常的生产经营及投资活动中产生的经济利益的总流入与总流出配比后的纯收入。
具体界定 : 1、不归企业权益主体所有的企业纯收入,不能作为企业评估中的企业收益
2、凡是归企业权益主体所有的企业收支净额,可视为企业收益。
三十一、企业收益预测方法有哪些?
对企业未来3-5年的收益预测常用的方法
A、综合调整法 B、产品周期法 C、现代统计法
三十二、折现率和资本化率确定的原则
(1)折现率和资本化率应不低于安全利率。
(2)折现率和资本化率与收益额口径要保持一致。
(3)折现率和资本化率应参考同行业平均收益率而定。
三十三、企业无效资产重组的方式有哪些?
企业无效资产的重组有两种形式:
一是“资产剥离”
二是对企业生产经营能力的“填平补齐”
三十四、无形资产收益法评估的公式
无形资产评估值 = 分成率×分成基数现值之和
添加图片注释,不超过 140 字(可选)
添加图片注释,不超过 140 字(可选)
= (受让方代交所得税)= (转让方自行交所得税)
添加图片注释,不超过 140 字(可选)
无形资产评估值 = 最低收费额 (受让方代交所得税)
添加图片注释,不超过 140 字(可选)
无形资产评估值 = 最低收费额 (转让方自行交所得税)
1.资产评估 是指符合国家有关规定的专门机构和人员,依据国家的有关规定,为特定的评估目的,遵循特定的评估原则,选择适当的价值类型,按照法定的评估程序,运用科学的评估方法,对特定的资产进行估算的过程。
2.继续使用假设 是指资产将按照现行用途继续使用,或转换用途继续使用。
3.贡献原则:某一资产或资产的某一构成部分的价值,取决于该资产对于其他相关资产共同组成的整体资产价值的贡献,或该部分对资产整体价值的贡献,也可以用缺少它时整体资产价值或资产整体价值的下降程度来衡量确定。
4.非市场价值 是指资产在各种非公开交易市场条件下的最可能价值。
5.成本法 是从待评估资产在评估基准日的复原重置成本或更新重置成本中扣减其各项价值损耗,来确定资产价值的方法。
6.比较法也称市场比较法,是指通过比较待评估资产与近期售出的类似资产(即可参照交易资产)的异同,并据此对类似资产的市场价格进行调整,从而确定待评估资产价值的评估方法。
7.收益法 是通过估算待评估资产自评估基准日起未来的纯收益,并将其用适当的折现率折算为评估基准日的现值的方法。
8.规模经济效益指数法:假定资产的生产能力与其重置成本之间呈非线性关系。
9.物理寿命 是指机器设备从开始使用起,到由于有形磨损的原因造成不能够继续正常工作而予以报废为止所经历的时间,其大小取决于机器设备本身的制造质量、使用状况、保养和正常维修情况。
10.技术寿命 是指机器设备从开始使用,到由于新技术的出现使其丧失使用价值而被淘汰为止所经历的时间,其大小在很大程度上取决于社会技术进步及更新的速度和周期。
11.不动产 是指不能移动或移动后会引起性质、形状改变,损失其经济价值的物及其财产权利。
12.标定地价 是指在一定时期和一定条件下,能代表不同区位、不同用途地价水平的标志性宗地的价格。
13.假设开发法: 为取得这块土地所支付的最高价格是开发完成后的房地产价值扣除开发成本和相应利息、利润等之后的余额。
14.最低收费额:混合支付中首次支付的总额的一部分称为入门费或最低收费额。
15.金融资产 是一切能够在金融市场上进行交易,具有现实价格和未来估价的金融工具的总称。
16.企业价值 是该企业所有的投资人所拥有的对于企业资产索取权价值的总和。
17.加和法 是指将构成企业的各种要素资产的评估值加总求得企业整体价值的方法。
1.资产 是指经济主体拥有或者控制的,能以货币计量并给经济主体带来经济效益的经济财物,包括房屋、土地、机器设备等有形物,以及商标权、专利权、特许经营权等无形物。
2.公开市场假设 是指假定在市场上交易的资产,资产交易双方彼此地位平等,彼此都有获取足够市场信息的机会和时间,以便对资产的功能、用途及其交易价格等做出理智判断。
3.清算假设 是指资产所有者在某种压力下,如破产、抵押权实施等,将被迫以协商或以拍卖的方式,强制将其资产出售。
4.市场价值 是指资产在评估基准日公开市场上,最佳使用状态下,最有可能实现的交换价值的估计值。
5.替代原则:理论依据是同一市场的相同(或相近似)物品具有相同
6.预期收益原则:是指资产的价值不是取决于其过去的生产成本和销售价格,而是取决于其在评估基准日后能够带来的预期净收益,即预期的获利能力。
7.最佳使用原则:是指按照估价对象的最佳使用方式评估资产的价格。
8.可确指资产:所有的有形资产和除商誉以外的无形资产,都是可确指资产。
9.不可确指资产:是指不能独立于有形资产而单独存在的资产,商誉是唯一的不可确指资产。
10.复原重置成本 是指在评估基准日采用与评估对象相同的材料、建筑或制造标准、设计、规格及技术等,以现时价格水平重新购建与评估对象相同的全新资产所发生的费用。
11.更新重置成本 是指采用新型材料,现代建筑或制造标准,新型设计、规格和技术等,以现行价格水平购建与评估对象具有同等功能的全新资产所需的费用。
12.资产的实体性贬值(亦称有形损耗) 是指资产由于磨损和自然力的作用,导致的资产的物理性能的损耗或下降而引起的资产的价值损失。
13.资产的功能性贬值 是指由于技术进步引起的资产功能相对落后而造成的资产价值损失。
14.资产的经济性贬值 是指由于外部条件的变化引起资产闲置、收益下降等造成的资产价值损失。
15.重置核算法 亦称细节分析法、核算法等。是将资产的总成本分为直接成本和间接成本来估算重置成本的方法。
16.物价指数法 是通过对资产的原始(历史)成本进行物价指数调整而得到其重置成本的方法。
17.功能价值法 也称生产能力比例法,这种方法假定待评估资产的生产能力与价值呈现性关系,首先找一个与待评估资产相同或类似的资产作为可比参照物,计算可比参照物的单位生产能力的价格,然后据以估算待评估资产的重置成本。
18.机器设备 是指由金属及其他材料制成,由若干零部件装配起来的,在一种或几种动力驱动下,能够完成生产、加工、化学反应、运行等功能或效用的装置。
19.经济寿命 是指机器设备从开始使用,到因继续使用会造成经济上不合算而停止使用所经历的时间。
20.土地 是处于地球的陆地表层范围内,以土壤、沙砾、岩石、矿物、水、空气生物等为基本物质要素,处于不同地质、地貌、水文、气候状态,而且受到人类活动持续影响的自然——经济综合体
21.地产 是指土地及其相关的财产权力
22.房地产 是指房屋及其附属物和承载房屋及其附属物的土地,以及与它们相应的各种财产权利。
23.基准地价 是在某一城市的一定区域范围内,根据用途相似、地段相连、地价相近的原则划分地段,然后调查评估出的各地价区段在某一时点的平均价格。
24.楼面地价:是单位建筑面积地价,等于土地总价格除以建筑总面积,或等于土地单价除以容积率。
25.残余法
26.无形资产 是指特定主体所控制的,不具有实物形态,对生产经营长期发挥作用且能带来经济利益的资源。
27.专利权 是指经国家专利机关依法认定、批准的,授予发明创造人或其权力受让人在一定期限内对其发明成果享有的独占权或占有权。
28.非专利技术,又称为专有技术、技术秘密。是指未公开或未申请专利,但为拥有者带来超额经济利益或竞争优势的技术信息和知识。
29.商标 是商品和商品服务的标记。
30.商标权 也称注册商标专用权,是指经过注册的某商标的所有人,对该注册商标享有的独占使用权。
31.商誉 通常是指一个企业预期将来的利润超过同行业正常利润的超额利润价值。
32.企业 是为满足社会需求并获取盈利而从事生产、流通、服务等经济活动,独立核算、自主经营、自负盈亏,具有法人资格的经济组织。