筹资管理包括哪些关键内容「筹资管理」
本文作者 | 经韬纬略智库
全文 8469 字
企业的筹资管理应该力求成本最小、风险最低。为此,企业需要在了解自身资金实力的基础上,权衡各种筹资方式的利弊,运用多种财务手段实现对成本与风险的有效控制。
分析企业的资金实力
企业进行筹资活动时,应充分衡量自身的资金实力,以保证后续经营活动的正常开展。
企业的短期经营和筹资活动都是在现有资金实力的基础上开展的,管理者只有在全面了解企业的资金实力后,才能在筹资活动中有的放矢,更好地进行财务决策。
要分析企业的资金实力,必须先明确衡量资金实力需要哪几个财务指标。
1.衡量资金实力的指标
企业衡量自身的资金实力时,需要参考现金流量和现金存量这两个重要指标。
现金流量
现金流量是一个动态的指标,具体指一定会计期间企业现金的流入和流出量。它对企业维持日常运营具有重要的作用。企业维持日常运营的现金,需要具备快速变现的能力。一般来说,企业不应以对外投资和应收账款等变现能力较差的资产支付日常的运营费用。现金流量指标可以从现金流量表中得到。现金流量表分别列出了经营活动、投资活动和筹资活动的现金流量,包括现金流入量、现金流出量和现金净流量,还列出了现金的净增加额及期末的现金余额。
企业管理者应关注上述信息,通过了解现金的使用状况,来分析企业的经营状况,同时关注行业的发展情况对自身的影响。
现金存量
现金存量是一个静态指标,指企业某一时点所拥有的现金量。企业在运用该指标时,应注意现金的使用范围。最低范围现金为货币资金,包括库存现金、银行存款等。企业首先应该核算本企业的货币资金存量,同时也要考虑任何可变现或有价值的资产。
如表 -1 所示的现金适用范围表是根据不同资产的变现能力, 对现金的不同范围进行区分的。
表-1 现金适用范围
企业在核算本企业的现金存量时,应先判断现金的使用范围, 然后再进行分析。值得注意的是,有些资产基本没有变现能力,不应将其核算进去,例如长期待摊费用和递延所得税资产。
2.跳出衡量资金实力的误区
在实际工作中,企业衡量资金实力时,常常会陷入以下两种误区。
视注册资本为资金实力
企业在衡量自身的资金实力时,往往容易步入将注册资本视为资金实力的误区。毫无疑问,注册资本可以作为企业资金实力的一个重要参考指标,但如果衡量资金实力时仅仅考虑注册资本就大错特错了。
企业的注册资本是指企业设立时股东实际投入的资本,包括非货币投资。既然注册资本是企业设立时投入的,那么经过一段时间的经营后,企业就可能因经营不善而耗费了其注册资本,也可能因经营得法而使资本有所增值。因此,单纯用注册资金衡量企业资金实力难免有失客观性。
企业衡量自身的资金实力,是一个复杂而系统的过程。即便是从资本角度进行衡量,也应该以企业经过运营后的资本状况为依据进行评估。
视销售收入为资金实力
企业在衡量自身的资金实力时,还容易步入的另一种误区就是将销售收入视为资金实力。一般来说,销售收入越高,说明企业的经营状况越好。但是,单纯地将销售收入视为资金实力是不合理的。因为企业的销售收入是以权责发生制为记账基础的,即只要商品销售出去,则不管货款是否收回都将其计入销售收入。这种做法忽略了应收账款问题。
中国金属(百慕大)有限公司(以下简称中国金属)是一家注册地在百慕大群岛、总部在苏州、在新加坡上市的台资企业。据2008 年 5 月 7 日的《常熟日报》报道,中国金属 2007 年实现销售
收入 113 亿元,税收 1.7 亿元,净利润 4 亿元,镀锌板产量超过鞍山钢铁公司,在全国排名第二。2008 年预计销售收入 160 亿~ 180亿元。
就是这样一家“实力雄厚”的公司,却在 2008 年 10 月遭遇了破产危机。2008 年 10 月 9 日,中国金属在新加坡发布的公告显示,公司无法偿还约 7.06 亿元人民币的营运资本贷款,其已经到期和可能到期的各类借款高达 52 亿元。2008 年 10 月 10 日起,中国金属正式停牌。
从上述案例可以看出,销售收入巨大并不代表公司的资金实力一定强大。公司最低应该保有足够偿还近期债务的现金,如果近期有大的发展计划,公司还应该提早为这个计划筹划资金。
利用股权进行筹资
股权筹资,是企业最基本的筹资方式,能够从广阔的市场中为企业募集大量的闲散资金。
股权筹资,又称权益资本,是以发行股票方式筹集资金的一种方法。它是企业经营活动中最主要的一种筹资方式。
企业在筹集资金的过程中,通常会受到各种约束,一方面有来自法律环境和融资市场的限制,另一方面有来自企业自身情况的限制。针对上述“夹缝”现象,利用股权筹集资金,则成为一种有效的解决方法。
1.借助股票的发行与上市来筹集资金
股票是指股份有限公司为筹集股权资本而发行的有价证券,是上市公司签发的证明股东持有公司股份的凭证。作为一种所有权凭证,股票代表着股东对发行公司净资产的所有权。
70股票发行与上市的条件股份公司的股票上市,必须经过严格的资格审查,只有符合一定的标准,公司才具备上市的资格。
因此,企业通过发行股票筹集资金,应了解以下几种情况。
(1)股份公司上市应符合规定的资本额、业绩记录、偿债能力和股权分散情况等。
(2)新设立股份有限公司申请公开发行股票应符合的条件。
(3)原有企业改组设立股份有限公司公开发行股票的条件。
(4)增资发行,也就是上市公司以社会公开募集方式增资发行股份应符合的条件。
(5)定向募集公司公开发行股票应符合的条件。
选择合适的股票发行方式
企业发行股票主要有公开间接发行和不公开直接发行两种方式。选择股票发行方式时,企业应根据自身的实际情况进行选择。
(1)公开间接发行,指公司通过证券中介机构,公开向社会公众发行股票。
我国股份有限公司采用募集设立方式向社会公开发行新股、新股需由证券经营机构承销的做法,属于股票的公开间接发行。
(2)不公开直接发行,指公司不公开对外发行股票,只向少数特定的对象直接发行,因而不需经中介机构承销。我国股份有限公司采用发起设立方式和以不向社会公开募集的方式发行新股的做法,属于股票的不公开直接发行。
各种股票发行方式的优缺点,如表-2 所示。
表-2 各种股票发行方式的优缺点
不论是公开间接发行还是不公开直接发行,企业发行股票都应考虑发行方式的特点,再结合企业自身的实际情况进行选择。
严格履行股票发行程序
股票的发行与上市,必须经过国家有关部门的严格审核与批准, 因此,股份有限公司申请股票上市,需要履行一定的相关程序。股票发行的程序如图-1 所示。
图-1 股票发行的程序
确定股票发行的合理价格
股票是一种有价证券,其价值大小有不同的表现形式。其中, 票面金额和发行价格是股票价值的主要表现形式。票面金额指每一单位股份所代表的公司资本额,发行价格则是指公司发行股票向投资者收取的价格。
股票发行公司计划发行新股时,往往要根据不同的情况,确定一个发行价格,其相关计算公式为
股票发行价格 = 溢价倍数 × 每股面值
新股发行价格的计算主要有三种方式。
分析法
综合法
市盈率法
确定股票价格应根据企业的实际情况,综合考虑分析法、综合法和市盈率法,进而选择一种较可行的方式。
综合考虑发行股票融资的优缺点
发行股票是企业使用较为广泛的一种筹集资金的方式。通过发行股票筹资的优缺点,如表-3 所示。
表-3 通过发行股票筹资的优缺点
2.用普通股筹集资金
普通股筹资是企业发行股票筹集资金的一种基本方式。发行普通股筹集的资本是企业最基本的资金来源,反映了企业的实力,可作为其他筹资方式的基础。发行普通股筹集资本还为债券人提供了保障,增强了企业的举债能力。
发行普通股募集资金,是多数股份有限公司的基本筹资方式。
使用这种方式时,应注意以下几个方面。
(1)关注所有权与经营权的分离问题。公司的控制权分散,容易被经理人控制。
(2)关注普通股的股息负担问题。一般来说,普通股没有固定的股息,资本成本较低。公司有盈利,并认为适于分配时才分派股利;公司没有盈利,或虽有盈利但现金短缺或有更好的投资机会时, 也可以少支付或不支付股利。
(3)注意普通股的流通性。普通股筹资使得股东大众化,给公司带来了广泛的社会影响。尤其是上市公司,其股票的流通性强, 有利于市场承认公司的价值。
(4)注意股权的流通与转让。普通股筹资以股票作为媒介方式,便于股权的流通和转让,有利于吸收新的投资者。但是,流通性强的股票交易,容易被恶意收购。
(5)注意普通股形成生产能力的成效。普通股筹资吸收的通常都是货币资金,需经过购置和建造才能形成生产经营能力。
发行普通股筹资,由于没有固定的股利负担,筹资的风险较小, 又加上预期收益较高,一定程度上可抵消通货膨胀的影响,因而发行普通股受到许多企业经营者的青睐。
3.用留存收益筹集资金
留存收益,又称保留盈余,是指企业从历年实现的利润中提取或留存于企业的尚未以现金或其他资产方式分配给股东的内部积累,或历年累积亏损未经资本公积弥补的部分。
打通留存收益的筹资渠道
留存收益的来源渠道主要有两个:盈余公积金和未分配利润。
(1)盈余公积金,指为指定用途留存的净利润,是公司从净利润中提取的积累资金,主要包括法定盈余公积金和任意盈余公积金。
(2)未分配利润,指未限定用途的留存净利润。主要有两层含义:一是这部分净利润没有分配给公司的股东;二是这部分净利润未指定用途。
因此,企业要利用留存收益筹集资金,必须打通盈余公积金和未分配利润这两种渠道。
综合考虑留存收益筹资的特点
企业利用留存收益筹集资金时,应综合考虑这种筹资方式的特点。
(1)不用发生筹资费用。企业从外界筹集长期资本,与普通股筹资相比较,留存收益筹资不需要发生筹资费用,资本成本较低。
(2)维持公司的控制权分布。利用留存收益筹资,不用对外发行新股或吸收新投资者,由此增加的权益资本不会改变公司的股权结构,也不会稀释原有股东的控制权。
(3)筹资数额有限。留存收益的最大数额是企业到期的净利润和以前年度未分配利润之和,不像外部筹资一次性可以筹集大量资金。如果企业发生亏损,那么当年就没有利润留存。另外,股东和投资者从自身利益出发,往往希望企业每年发放一定的股利,保持一定的利润分配比例。
通过债务进行筹资
债务筹资是企业筹集资金的重要工具之一,有效保证了企业经营活动的资金需求。
债务筹资,是指企业根据约定的代价和用途,通过按期还本付息来取得资金来源的一种筹资方式。债务筹资通常有企业向银行借款、向社会发行公司债券、融资租赁以及赊购商品或劳务等方式。其中,银行借款、公司债券、融资租赁和商业信用是债务筹资的基本形式。
1.适当地向银行借款
银行借款又称银行贷款,是指企业依据国家相关政策向银行借入一定期限的、需还本付息的款项的经济行为。包括偿还期限超过1 年的长期借款和偿还期限不足 1 年的短期借款,主要用于企业购建固定资产,以及满足流动资金周转的需要。
区分银行借款的不同类别
企业通过向银行借款来筹集资金,应注意采用不同的借款方式。
一般情况下,银行借款可分为以下三种类别。
类别一 :根据提供贷款的机构不同,可分为政策性银行贷款、商业银行贷款和其他金融机构贷款。其中,政策性银行贷款机构有国家开发银行、中国进出口信贷银行、中国农业发展银行等;商业银行贷款机构有中国工商银行、中国建设银行、中国农业银行、中国银行等;其他金融机构贷款,有信托投资公司提供的实物或货币形式的信托投资贷款,财务公司提供的各种中长期贷款,保险公司提供的贷款等。
类别二 :根据机构对贷款有无担保要求,又可分为信用贷款和担保贷款。
(1)信用贷款。企业不以财产为抵押,而是以借款人信誉或保证人信用为依据获得贷款。由于这种贷款风险较高,因此银行要收较高的利息,还附加一定的限制条件。
(2)担保贷款。由借款人或第三方依法提供担保而获得的贷款,包括保证贷款、抵押贷款和质押贷款等。
值得注意的是,担保贷款中的抵押贷款是以借款人或第三人的财产作为抵押物而取得的,而质押贷款是以借款人或第三人的动产或财产权利作为质押物而取得的。
类别三 :根据企业贷款的用途,可分为基本建设贷款、专项贷款和流动资金贷款。基本建设贷款指企业因从事新建、改建、扩建等基本建设项目需要资金而向银行申请借入的款项;专项贷款指企业因为专门用途而向银行申请借入的款项;流动资金贷款指企业为满足流动资金的需求而向银行申请借入的款项。
履行银行借款的操作程序
银行借款是企业筹集资金的一种普遍方式,银行借款操作流程如图-2 所示。
图-2 银行借款的操作流程
企业采用银行借款方式筹集资金,应注意以下几个方面。
(1)提出申请。根据筹资需求,企业向银行提出书面申请,然后按相关要求的条件和内容填报贷款申请书。
(2)银行审批。按照相关政策和贷款条件,银行对贷款企业进行信用审查,包括公司财务状况、信用情况和发展前景等,根据审批权限,核准公司申请的贷款金额和用款计划。
(3)签订合同。借款申请通过批准后,银行要与企业进一步协商,规定贷款的具体条件,包括贷款数额、利率、期限和一些约束性条款,然后正式签订合同。
(4)取得贷款。贷款合同签订后,在规定的贷款指标范围内, 企业可根据用款计划和实际需要,一次或分次将贷款转入公司的存款结算户,方便使用。
综合考虑银行借款的优缺点
利用银行借款筹集资金,企业应综合考虑该筹资方式的优缺点, 再结合自身实际情况,选择合适的借款方式。银行借款筹资的优缺点如表-4 所示。
表-4 银行借款筹资的优缺点
2.适时发行公司债券
公司债券,又称企业债券,是企业根据法定程序发行的、约定在一定期限内还本付息的有价证券。发行公司债券通常是为建设大型项目筹集金额较大的长期资金。公司债券是持有人拥有公司债权的书面证书,代表持券人同发债公司之间的债权债务关系。
履行发行公司的债券流程
企业通过发行公司债券来筹集资金,应履行发行债券的流程。发行债券的流程,如图-3 所示。
图-3 发行债券的流程
实际履行过程中,企业应注意以下问题。
(1)作出决议。公司发行债券,应由董事会制订方案,股东大会作出决议。
(2)提出申请。凡欲发行债券的公司,应先向国务院证券管理部门提出申请并提交相关文件。国务院证券管理部门根据有关规定, 对公司的申请进行核准。
(3)公告募集办法。发行公司债券的申请经批准后,应向社会公告募集债券的办法。公司债券可分为私募发行和公募发行,私募发行以特定的少数投资者为对象,而公募发行则以证券市场上非特定的广大投资者为对象。
(4)债券借款。企业发出公司债券募集公告后,开始在公告锁定的期限内募集借款。
(5)交付债券,收缴债券款,登记债券存根簿。债券发行通常由债券购买人直接向承销机构付款购买,承销单位付给企业债券。同时,发行公司向承销机构收缴债券款并结算代理费及预付款项。
综合考虑发行公司债券的优缺点
企业发行公司债券,应综合考虑该筹资方式的优缺点。通过发行公司债券筹资的优缺点如表-5 所示。
表-5 通过发行公司债券筹资的优缺点
企业通过发行债券筹集资金,主要用于流动性较差的长期资产。从资金使用的性质来看,银行借款具有期限短、额度小的特点,主要用途为增加适量存货、购进小型设备等;相反,期限较长、额度较大,为了满足公司扩展、增加大型固定资产或基本建设投资的需求时多采用发行债券的方式。
3.合理使用融资租赁
在债务筹资中,除银行借款和公司债券外,企业还可通过融资租赁的方式筹集资金。
融资租赁,顾名思义,带有“融资”的性质。简单地说,融资租赁是承租企业以“融物”的形式达到融资目的的筹资方式。这种方式已成为资本市场上仅次于银行信贷的第二大筹资方式。如果企业想购买新设备,一时又没有那么多资金,此时企业就可以用融资租赁方式。
掌握融资租赁的六个特征
作为一种信用筹资方式,融资租赁与其他筹资方式相比具有六个不同特征。
(1)租赁设备由承租人选择,出租人只负责购买并租赁给承租人使用。
(2)承租人负责检查验收制造商所提供的设备,并负责维修保养和管理。
(3)出租人保留设备的所有权,承租人在租赁期间支付租金并享有使用权。
(4)租赁合同一经签订,在租赁期间没经双方同意,任何一方不得中途解约。
(5)租赁设备在租赁期内只能租给一家企业使用,出租人通过这一次租赁,几乎就可以收回在出租资产上的全部投资。
(6)租赁期结束后,承租人对设备一般有留购、续租和退租三种选择。
掌握融资租赁的三种形式
使用融资租赁时,应掌握该筹资方式的三种形式,如表-6 所示。
表-6 融资租赁的三种形式
分析融资租赁的优缺点
融资租赁能够以较少的资金获得较大设备的使用权,这是该种筹资方式的最大优势。但是,这种筹资方式的程序较复杂,租赁成本较高。融资租赁的优缺点如表-7 所示。
表-7 融资租赁的优缺点
融资租赁作为一种融资与融物相结合的筹资方式,其使用情况与操作程序也具有各自的特点。
把握融资租赁的适用情况
采用融资租赁方式筹集资金,应注意它的使用情况。否则,容易导致资金链出现状况。融资租赁方式一般适用于以下三种情况:企业流动资金不足,大型机械设备,设备技术进步较快、无形损耗较大。融资租赁的适用情况如表-8 所示。
表-8 融资租赁的适用情况
履行融资租赁的操作程序
企业办理融资租赁业务比较复杂,在履行过程中,应重点注意以下操作程序:选择合适的租赁设备、申请租赁、签订购买合同、签订租赁合同、交货并提供售后服务。融资租赁流程如图-4 所示。
图-4 融资租赁流程
4.适度使用商业信用
商业信用是企业进行短期筹资的一种重要形式。目前我国制造商和批发商的商品,绝大部分都是在通过商业信用方式销售。
所谓商业信用,是指企业在买卖商品时,由于延期付款或延期交货而形成的借贷关系,是存在于企业之间的一种直接信用关系。商业信用的产生缘于商品交易中金钱与货物在时间上的分离。
商业信用必须满足的三个前提
使用商业信用进行筹资时,必须满足以下三个前提条件。
(1)有一定商业信用基础。要求企业在平时的经营中,严格按照其他企业给予的信用政策行事,才能顺利地开展筹资活动。
(2)让合作方也有收益。企业利用商业信用筹资,应该使双方都有收益,这样对方才会有较强的合作意愿。
(3)谨慎使用“商业信用”。企业的信用如果无法兑现,不但会让别人受损失,还会破坏企业自身的信誉,不利于以后业务的开展。
商业信用的三种形式
商业信用可由卖方授予买方,表现为买方延期付款;也可以由买方授予卖方,表现为卖方延期交货。企业使用该方法筹集资金时, 必须掌握三种形式:应付账款、应付票据和预付账款。商业信用的三种形式如表-9 所示。
表-9 商业信用的三种形式
在实际工作中,企业应针对不同情况灵活选择正确的信用方式, 从而筹集到理想的资金需求量。
分析商业信用的优缺点
商业信用筹资是一种自然的筹资方式,通常不用非常正规的安排,也不用另外办理筹资手续。商业信用的优缺点如表-10 所示。
表-10 商业信用的优缺点
把握最后一天
在商品交易中,买方应关注卖方的商业信用条件。商业信用条件是卖方对付款期限和现金折扣的具体规定。买方确定了信用条件时,应严格按照该信用条件的规定行事。如果卖方规定“N/60”,即买方应在 60 天内付款,而不能迟于 60 天付款。
由于资金具有时间价值,因此,企业选择在信用期限的最后一天付款无疑是明智的。但企业要把握“最后一天”,需要有非常良好的记录制度,而这可能会增加成本。如果执行精细化记录制度的成本甚至高于其收益,企业则可以将原则变为把握“最后 × 天” 或“最后一周”。
选择低成本方式
商品交易中,如果没有现金折扣,企业应在信用期限内尽量晚付款;而在有现金折扣的情况下,企业只要有足够的现金,就应充分享受这项现金折扣。
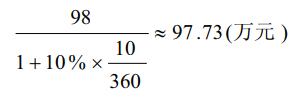
甲企业的信用条件是“2/10,N/30”,表示买方在 10 天内付款,可享受 2% 的现金折扣,若放弃现金折扣,应在 30 天内付款。如果乙企业购买了甲企业 100 万元的商品,计算乙企业应该选择哪项信用条件(年折现率为 10%,一年按 360 天计算)。
不管乙企业是否选择享受现金折扣,不妨假设其在相应期限的最后一天付款,即:如果享受现金折扣,则第 10 天付款;如果不享受现金折扣,则第 30 天付款。
乙企业如果第 10 天付款,其应支付 98 万元,现值为:
乙企业如果第 30 天付款,其应支付 100 万元,现值为:
显然,对于乙企业来说,享受现金折扣比较有利。供货商在提供现金折扣时,都会将信用条件设计得早付款比晚付款有利,所以如果企业资金充足,一般不用进行上述运算,可直接选择早付款。
这是单纯考虑资金现值,而不考虑企业是否有支付能力的情况。如果企业现在没有足够的资金,或者有足够的资金但有更重要的用途需要使用,那么就只能选择全额付款了。
主动预收账款
在实际商品交易中,卖方可以有意识地为预付账款提供优惠, 鼓励买方预付账款,从而形成自己的预收账款,筹集资金。
中国移动某分公司曾经推出了一项全球通预存话费送话费优惠活动,内容是:活动期间,全球通客户预存一定额度的话费(分为2 400 元、1 200 元、600 元和 300 元四档)并承诺从办理的下个月起连续 12 个月达到最低消费额度,即可获赠等额话费。
该公司开展这种活动,可以通过话费让利吸引新的客户,在与经营对手的竞争中赢得先机。也可以在短期内筹集到巨额资金,利用这笔资金去拓展新业务。
在利用预收账款筹资时,企业制订什么样的优惠政策非常关键。企业的优惠政策应当契合客户需求,让客户为获得这种优惠宁可早付货款。但企业的优惠幅度也不能过大,否则虽然有利于企业短期内筹集大量资金,却可能严重影响企业以后的收益能力。所以,企业需要作出适当权衡。
以上内容摘自《财务管理的55个关键细节》
《财务管理的55个关键细节》全面、系统地对财务管理的各个流程进行了科学的梳理,经过严格筛选,从核算管理、预算管理、筹资管理、投资管理、成本管理、资本运营、经营决策和财务信息8个方面选取了55个关键细节。对每一个关键细节,不仅提出了标准和要求,还给出了具体的管理方法和解决方案,能够有效地帮助企业进行财务管理,实现财务管理的最优化。
戳这里打包带走☞《财务管理的55个关键细节》