工程造价环节「一级造价案例讲义」
一、租赁方式融资
指当企业需要筹措资金、添置必要的设备时,可以通过租赁公司代其购入所选择的设备,并以租赁的方式将设备租给企业使用。
1)经营租赁。出租方以自己经营的设备租给承租方使用,出租方收取租金。
2)融资租赁。又称为金融租赁或财务租赁。采取这种租赁方式,通常由承租人选定需要的设备,由出租人购置后给承租人使用,承租人向出租人支付租金,承租人租赁取得的设备按照固定资产计提折旧,租赁期满,设备一般要由承租人所有,由承租人以事先约定的很低的价格向出租人收购的形式取得设备的所有权。
融资租赁的优点
①融资租赁是一种融资与融物相结合的融资方式,能够迅速获得所需资产的长期使用权;
②融资租赁可以避免长期借款筹资所附加的各种限制性条款,具有较强的灵活性;
③融资租赁的融资与进设备都由有经验和对市场熟悉的租赁公司承担,可以减少设备进口费,从而降低设备取得成本。
融资租赁的租金包括三大部分
①租赁资产的成本:租赁资产的成本大体由资产的购买价、运杂费、运输途中的保险费等项目构成;
②租赁资产的利息:承租人所实际承担的购买租赁设备的贷款利息;
③租赁手续费:包括出租人承办租赁业务的费用以及出租人向承租人提供租赁服务所赚取的利润。
二、资金成本
指企业为筹集和使用资金而付出的代价。
①资金筹集成本:指在资金筹集过程中所支付的各项费用,如发行股票或债券支付的印刷费、发行手续费、律师费、广告费等。
②资金使用成本:又称为资金占用费,是指占用资金而支付的费用,它主要包括支付给股东的各种股息和红利、向债权人支付的贷款利息及支付给其他债权人的各种利息费用等。
三、资金成本的性质
①资金成本是资金使用者向资金所有者和中介机构支付的占用费和筹资费。
②资金成本与资金的时间价值既有联系,又有区别。
③资金成本具有一般产品成本的基本属性。
四、资金成本的作用
①个别资金成本主要用于比较各种筹资方式资金成本的高低,是确定筹资方式的重要依据。
②综合资金成本是项目公司资本结构决策的依据。
③边际资金成本是追加筹资决策的重要依据。
五、资金成本计算表达式
或
式中:
K——资金成本率(一般也可称为资金成本);
P——筹资资金总额;
D——使用费;
F——筹资费;
f——筹资费费率(及筹资费占筹资资金总额的比率)。
六、权益资金成本
1)优先股成本。优先股的资金成本率计算公式为:
或
式中:
KP——优先股成本率;
P0——优先股票面值;
DP——优先股每年股息;
i——股息率;
f——筹资费费率(即筹资费占筹资资金总额的比率)。
2)普通股成本。
①股利增长模型法。普通股成本的计算公式为:
式中:
Ks——普通股成本率;
Pc——普通股票面值;
Dc——普通股预计年股利额;
ic——普通股预计年股利率;
g——普通股利年增长率;
f——筹资费费率(即筹资费占筹资资金总额的比率)。
②税前债务成本加风险溢价法。普通股资金成本的计算公式为:
式中:
Ks——普通股成本率;
Kb——所得税前的债务资金成本;
RPc——投资者比债权人承担更大风险所要求的风险溢价。
③资本资产定价模型法。普通股成本的计算公式为:
式中:
Ks——普通股成本率;
Rf——社会无风险投资收益率;
β——股票的投资风险系数;
Rm——市场投资组合预期收益率。
3)保留盈余成本。计算公式为:
式中:KR——保留盈余成本率。
七、债务资金成本
1)长期贷款成本。对每年年末支付利息、贷款期末一次全部还本的借款,其借款成本率为:
式中:
Kg——借款成本率;
G——贷款总额;
T——公司所得税税率;
It——贷款年利息;
ig——贷款年利率;
F——贷款费用;
f——筹资费费率(即筹资费占筹资资金总额的比率)。
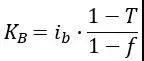
2)债券成本。债券成本率可按下列公式计算:
或
式中:
KB——债券成本率;
B——债券筹资额;
It——债券年利息;
ib——债权年利息利率;
T——公司所得税税率;
f——筹资费费率(即筹资费占筹资资金总额的比率)。
3)租赁成本。其租金成本率为:
式中:
KL——租赁成本率;
PL——租赁资产价值;
E——年租金额;
T——公司所得税税率。
4)考虑时间价值的负债融资成本计算。
式中:
P0——债券发行额或长期借款金额,即债务现值;
f——债务资金筹资费用率;
It——约定的第t期末支付的债务利息;
Pt——约定的第t期末偿还的债务本金;
Kd——所得税后债务资金成本;
n——债务期限,通常以年表示;
T——公司所得税税率。
八、加权平均资金成本
式中:
Kw——加权平均资金成本;
Wi——各种资本占全部资本的比重;
Ki——第i类资金成本。
九、资本结构
指项目融资方案中各种资金来源的构成及其比例关系,又称资金结构。资本结构的分析应包括项目筹集资金中股本资金、债务资金的形式,各种资金所占比例,以及资金的来源,包括项目资本金与负债资金比例、资本金结构和债务资金结构。
十一、项目资本金内部结构比例
指项目投资各方的出资比例。
十二、选择债务融资的结构应考虑以下几个方面
①债务期限配比
②债务偿还顺序
③境内外借款占比
④利率结构
⑤货币结构
十三、评价项目融资中的利率结构应考虑以下三种因素
①项目现金流量的特征起着决定性的作用。
②对进入市场中利率的走向分析在决定债务资金利率结构时也起到很重要的作用。
③任何一种利率结构都有可能为借款人带来一定的利益。
十四、资本机构的必须方法
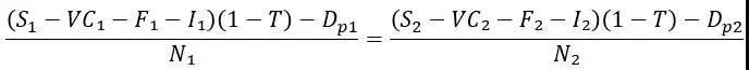
每股收益EPS的计算式如下:
式中:
S——销售额;
VC——变动成本;
F——固定成本;
I——债务利息;
N——流通在外的普通股股数;
EBIT——息税前盈余;
Dp——优先股年股利。
若以EPS₁表示负债融资,以EPS₂表示权益融资,有:
EPS₁=EPS₂
在每股收益无差别点上,S₁=S₂,则: