金融机构单位和金融工具的分类和区别「金融工具分类图解」
金融机构单位和金融工具的分类
1. 金融机构单位的分类
(1)货币当局货币当局包括中国人民银行和国家外汇管理局两个机构。
(2)监管当局监管当局包括中国银行业监督管理委员会、中国证券业监督管理委员会和中国保险业监督管理委员会三个政府设立的金融业监管机构,是对金融机构及其经营活动实施全面的、经常性的检查和督促,实行领导、组织、协调和控制,行使实施监督管理职能的政府机构或准政府机构。
(3)银行业存款类金融机构银行业存款类金融机构包括:
① 银行;
② 城市信用合作社;
③ 农村信用合作社;
④ 农村合作银行;
⑤ 农村商业银行;
⑥ 村镇银行;
⑦ 农村资金互助社;
⑧ 财务公司。
4)银行业非存款类金融机构银行业非存款类金融机构包括:
① 信托公司;
② 金融资产管理公司;
③ 金融租赁公司;
④ 汽车金融公司;
⑤ 贷款公司;
⑥ 货币经纪公司。
(5)证券业金融机构证券业金融机构包括:
① 证券公司;
② 证券投资基金管理公司;
③ 期货公司;
④ 投资咨询公司。
(6)保险业金融机构保险业金融机构包括:
① 财产保险公司;
② 人身保险公司;
③ 再保险公司;
④ 保险资产管理公司;
⑤ 保险经纪公司;
⑥ 保险代理公司;
⑦ 保险公估公司;
⑧ 企业年金。
(7)交易及结算类金融机构交易及结算类金融机构包括:
① 交易所;
② 登记结算类机构。
(8)金融控股公司金融控股公司包括:
① 中央金融控股公司;
② 其他金融控股公司。
(9)其他金融机构其他金融机构主要有:
① 小额贷款公司;
② 第三方理财公司;
③ 综合理财服务公司。
2. 金融工具及其分类
(1)货币黄金和特别提款权
货币与金融统计
货币黄金和特别提款权是通常仅由货币当局持有的资产。货币黄金是由货币当局(或受货币当局有效控制的其他机构)所拥有的并作为储蓄资产而持有的黄金。特别提款权是由国际货币基金组织创立并分配给会员以补充现有储备资产的国际储备资产。
2)通货和存款通货是指那些由中央银行或中央政府发行或授权的具有固定面值的纸币和硬币。存款包括可转让存款、银行间头寸、其他可转让存款和其他存款。
(3)债务性证券债务性证券是作为债务证明的可转让工具,包括票据、债券、可转让存款证、商业票据、债权证、资产支持证券和通常可在金融市场交易的类似工具。
(4)贷款贷款包括债权人直接将资金借给债务人时产生的金融资产和以不可转让单据作为凭证的金融资产。
(5)股权和投资基金份额股权和投资基金份额的显著特征是持有者对发行单位的资产有剩余索取权。
6)保险、养老金和标准化担保计划准备金保险、养老金和标准化担保计划都是金融机构进行财富调节或收入再分配的形式。再分配可能发生在同一时期各机构单位之间,或同一机构单位不同时期之间,或这两种情况的结合。
(7)金融衍生工具和雇员股票期权金融衍生工具是与某种特定金融工具或特定指标或特定商品挂钩的金融工具,通过金融衍生工具,特定的金融风险本身就可以在市场上交易。金融衍生工具是为了风险管理、套期保值、在市场间套利和投机等多种目的而使用,可分为期权合约(期权)和远期类合约(远期)两大类。
(8)其他应收/应付款包括提供给公司、政府、住户和国外的货物和服务的商业信用、在建工程或拟建工程的预付款,以及与税收、红利、证券买卖、租金、工资和薪金、社会保障缴款有关的应收和应付款。
(9)备忘项目备忘项目是需要单独列出和记录的金融资产或负债,有外商直接投资和不良贷款两项。
3. 货币与金融统计的内容
货币与金融统计主要包括三个方面的内容,
其一是货币信贷统计,
其二是全社会金融活动统计,
其三是金融业经营统计。
货币统计
1. 货币的概念与定义
所谓货币就是指一国政府或其授权机构所发行的充当商品交换的等价物和支付手段的钞票,既包括主币,也包括各种辅币,又称为现金。
2. 货币供应量统计
所谓货币供应量,也就是流通中的货币存量,是一个时点指标,通常统计每个月月末的数额。
3. 存款统计
所谓存款,就是指机构或个人在保留资金或货币所有权的条件下,以不可流通的存单或类似凭证为依据,确保名义本金不变并暂时让渡或接受资金使用权所形成的债权或债务。根据存款统计分类标准的规定,我国的存款可分为 15 个大类,分别为:
(1)普通存款
① 单位活期存款;
② 单位定期存款;
③ 活期储蓄存款;
④ 定期储蓄存款:
a.整存整取储蓄存款;
b.零存整取储蓄存款;
c.存本取息储蓄存款;
d.教育储蓄存款;
e.整存零取储蓄存款。
(2)定活两便存款定活两便存款是指个人存款人在金融机构开立账户存入资金或货币,由金融机构出具存款凭证,办理不约定存期、本金一次性存入,支取时一次性支付全部本金和税后利息,具有定期和活期双重性质的一种存款。
(3)通知存款通知存款是指存款人在金融机构开立账户存入资金或货币,由金融机构出具存款凭证,办理不约定存期,支取时需提前一定时间通知金融机构,约定支取日期和金额的存款。
(4)协议存款协议存款是指由金融机构根据中国人民银行相关规定对存款人开办的存款,存款利率由双方协商确定。
(5)协定存款
货币与金融统计
协定存款是指存款人通过与金融机构签订合同约定合同期限、确定结算账户需要保留的基本存款额度,对基本存款额度按结息日中国人民银行规定的活期存款利率计息、对超过基本存款额度的存款按中国人民银行规定的协定存款利率或合同约定的利率计息的存款。具体有如下两种:
① 结算户存款;
② 协定户存款。
(6)保证金存款具体有九种:
① 信用证保证金存款;
② 保函保证金存款;
③ 银行承兑汇票保证金存款;
④ 银行本票保证金存款;
⑤ 信用卡保证金存款;
⑥ 衍生金融产品交易保证金存款;
⑦ 黄金交易保证金存款;
⑧ 证券交易保证金存款;
⑨ 其他保证金存款。
(7)应解汇款及临时存款应解汇款及临时存款是指金融机构因办理支付或结算而形成的一种临时性资金存款,包括应解汇款、临时存款、汇出汇款、汇入汇款。
(8)结构性存款结构性存款是指金融机构吸收的嵌入金融衍生工具的存款、通过与利率、汇率、指数等的波动挂钩与某实体的信用情况挂钩,使存款人在承担一定风险的基础上获得更高收益的业务产品。
(9)信用卡存款具体有如下两种:
① 贷记卡存款;
② 准贷记卡存款。
(10)财政性存款具体有如下两种:
① 国库存款:
a.财政贷款;
b.财政过渡存款
② 其他财政存款:
a.划缴财政存款;
b.待结算财政款项;
c.财政专用基金存款;
d.国库定期存款
(11)第三方存管存款第三方存管存款是指由金融机构作为独立第三方保管证券公司的交易结算资金。
(12)准备金存款准备金存款是指中国人民银行按规定吸收的法定存款准备金及超额存款准备金。
(13)存放存放是指为了支付清算的需要,某一金融机构在其他金融机构开立账户存入资金或货币所形成的金融机构之间的债权债务关系。
(14)特种存款特种存款是指中国人民银行根据金融宏观调控需要,向金融机构吸收的特定存款。
(15)其他存款其他存款是指不在以上核算范围内的存款。
4.贷款统计
所谓贷款,就是指机构或个人在保留资金或货币所有权的条件下,以不可流通的借款凭证或类似凭证为依据,暂时让渡或接受资金使用权所形成的债权和债务。
(1)再贷款再贷款是指中央银行为了实现货币政策目标而根据商业银行的资金头寸情况和金融市场状况按规定向商业银行发放的贷款。
(2)普通贷款
① 消费贷款:
a.个人住房贷款;
b.个人汽车消费贷款;
c.助学贷款;
d.其他消费贷款。
② 经营贷款
③ 固定资产贷款
(3)拆借拆借是指经中国人民银行批准进入全国银行间同业拆借市场的金融机构之间,通过全国统一的同业拆借网络进行的无担保金融通行为。
(4)透支
① 账户透支;
② 贷记卡透支;
③ 准贷记卡透支。
(5)垫款
① 承兑垫款;
② 担保垫款;
③ 信用证垫款;
④ 其他垫款。
(6)回购/返售
① 债券回购/返售;
② 票据回购/返售;
③ 贷款回购/返售;
④ 股票及其他股权回购/返售;
⑤ 黄金回购/返售
(7)黄金、证券借贷
① 债券借贷;
② 票据借贷;
③ 股票及其他股权借贷;
④ 黄金借贷;
⑤ 其他资产借贷
(8)贸易融资
① 国际贸易融资;
② 国内贸易融资。
(9)融资租赁融资租赁是指出租人根据承租人对租赁物和供货人的选择或认可,将其从供货人处取得
货币与金融统计
的租赁物按合同约定出租给承租人占有、使用,向承租人收取租金的交易活动。
10)打包信贷受让资产打包信贷受让资产是指金融机构受让其他金融机构出售的由两个或两个以上信贷资产打包组成的组合式信贷资产。
(11)转贷款转贷款是指金融机构以自己名义向境外出口信贷机构、金融机构、政府筹资,并将所筹资金转贷给境内机构的贷款。
(12)并购贷款并购贷款是指贷款人向并购方或其子公司发放的,用于支付并购交易价款的贷款。
(13)其他贷款其他贷款是指不在以上范围内的贷款。
5. 利率和汇率统计
(1)利率统计
① 商业银行利率:
a.存款利率;
b.贷款利率;
c.转贴现利率。
② 中央银行利率:
a.中央银行存款利率;
b.再贷款利率;
c.再贴现利率。
③ 金融市场利率:
a.银行同业拆借利率;
b.各种债券利率;
c.民间借贷利率
(2)汇率统计汇率的标价方法有两种,
一种是直接标价法,
另一种标价方法是间接标价法
全社会金融活动统计
1. 金融交易流量的计算方法
用“取净值”的方法计算金融交易流量的计算公式为:金融交易流量=交易流入量—交易流出量某个时期的期初和期末的金融资产或负债存量与期内发生的金融交易流量具体如下的等式关系:期初资产(负债)存量 本期交易流入量—本期交易流出量=期末资产(负债)存量由此关系式,也可以得出金融交易流量的另一个计算公式为:金融交易流量=期末资产(负债)存量—期初资产(负债)存量
2. 各机构部门资金流量统计
根据国民经济核算体系对机构单位的分类,国民经济系统中的全部机构单位可以分为非金融企业部门、金融机构部门、政府部门、住户部门和国外部门共五个部门。
3. 社会融资总额统计
实体经济的社会融资总额可以用公式表示为:
社会融资总额=人民币各项贷款 外币各项贷款 委托贷款 信托贷款 银行承兑汇票企业债券 非金融企业股票融资 保险公司赔偿 投资性房地产 其他
4. 金融协调发展统计分析
金融业的发展是社会经济发展的重要组成部分,金融业的发展应该基于实体经济发展的需要,并服务于实体经济的发展,因此金融业的发展应该和国民经济其他行业的发展相互协调。
(1)金融相关比率统计根据戈德史密斯的定义,金融相关比率的计算公式为:
(2)金融活动服务于实体经济比例统计可以用来反映金融活动服务于实体经济比例的一个重要指标是计算每年的实体经济融资规模占全社会资金流动规模的比例,其计算公式为:
统计指数的概念与种类
1. 统计指数的概念
统计指数,简称为指数,有广义和狭义两种概念。在统计总体中,若所考察的数量在各个个体上的计量单位相同,且其数值可以直接相加,则称该数量是同度量的;否则,就称该数量是不同度量的。广义的指数,就是指反映任意一种数量在不同时间或不同空间上相对比率的指标;而狭义的指数,则仅指反映不同度量的数量在不同时间或不同空间上相对比率的指标。
2. 统计指数的种类
统计指数作为衡量某种数量在不同时间或不同空间上数值相对比率的指标,有着十分广泛的用途,因此可以有多种不同的分类,其中重要的分类有如下三种。
(1)按指数包括范围分类
按照包括范围的不同,统计指数可分为个体指数和总指数两种。个体指数是反映单种个体的某种数量在不同时间或不同空间上相对比率的指标。
(2)按指数反映内容分类
按照指标所反映内容的不同,统计指标可分为价值类指数、物量类指数和物价类指数三种。价值类指数是同一单位在不同时期所生产或销售产品的价值金额之比率,以及不同地区所生产或销售产品的价值金额之比率,反映了两个不同的价值金额的相对比率;物量类指标是同一单位在不同时期所生产或销售产品的数量之比率,以及不同地区所生产或销售产品的数量之比率,反映了产品数量的变化或相对比率;而物价类指数则是不同时期所生产销售产品的价格之比率,或不同地区产品销售价格水平之比率,反映了产品价格水平的变化或相对比率。
(3)按指数对比基准分类
按照编制指数时所选对比基准的不同,统计指数可分为时间指数和空间指数两种。时间指数是指某种数量在两个不同时间的数值比率指标,空间指数是指某种数量在两个不同地域的数值比率指标。
第二节统计指数的编制原理
1. 个体指数
对于同种商品的某个数量指标在某个时期或时刻的数值与另一个时期或时刻的数值相
除,就得到了该数量指标的一个比率指标,称为其个体指数。
也就是说,同一种产品的价值指数必然等于其价格指数与物量指数的乘积。
实际上,价值指数、价格指数和物量指数间不仅存在上述乘积关系,而且如果将价格指数的分子与分母同乘以现期的产量,并将物量指数的分子与分母同乘以基期的价格,则三个指数的分子与分母的差额之间还具有下列关系:
2. 综合指数
综合指数就是将各个个体在不同时间或不同空间上的数量分别总和然后相对比所得到的总和相对比率指标,是总指数的基本形式,其编制方法则是编制总指数的基本方法。
若所考察的各个个体数量是同度量的,则可直接加总其数值,将两个不同时间或不同空间的总和数值相比所得比率即为所求的综合指数。以最常遇到的各种商品销售额为例,记基
(1)拉氏指数
所谓拉氏指数,就是用基期价格作同度量因素的物量总指数和用基期销售量作同度量因
(2)帕氏指数
所谓帕氏指数,就是用现期价格作同度量的物量总指数和用现期销售量作同度量因素的物价总指标。它是由另一位德国学者帕煦于1874年提出的另一种狭义指数。帕氏物量总指
(3)杨格指数
杨格指数是以典型时期通常均选择正常时期的物价和物量作为同度量因素编制出的物
(4)马埃指数
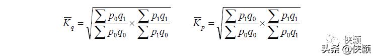
马埃指数是由英国著名经济学马歇尔和埃奇渥斯提出的一种狭义指数。它是用基期和现期的平均价格作为同度量因素来编制物量总指数,用基期和现期的平均物量作为同度量因素来编制物价总指数。马埃物量总指数和物价总指数的计算公式为:
(5)费舍理想指数
费舍理想指数是由美国学者费舍于20世纪20年代提出的一种狭义指数。它是由拉氏指数和帕氏指数经过简单几何平均而得到,费舍称其为理想指数。费舍理想指数中的物量总指数和物价总指数公式分别为:
3. 平均指数
所谓平均指数就是将各个个体指数进行综合平均而得出的综合比率指标,即平均比率指标,它是总指数的又一种形式,也是编制总指数的一种重要方法。
(1)算术平均指数
算术平均数是对各个个体指数进行算术平均而得出的总指数。则算术平均指数的计算公
(2)调和平均指数
调和平均指数是对各个个体指数进行调和平均而得出的总指数。与编制算术平均指数类似,也考虑到编制总指数的目的要求和资料采集的难易,调和平均指数通常只用现期金额作
国民经济价格指数的编制
1. 居民消费价格指数的编制
居民消费价格指数,也称为消费者价格指数,是测度居民家庭日常生活所消费的各种商品和服务项目的价格水平随着时间变化的比率指标,反映居民家庭日常生活所购买商品和服务价格水平的变动趋势和变动程度,也常用反映通货膨胀的程度。
(1)固定篮子价格指数理论与篮子商品的确定
固定篮子价格指数理论,就是首先根据居民家庭日常生活消费的实际状况,选择出一些代表性的产品和服务项目,组成一个产品和服务的篮子,然后每期都对该篮子中所列产品和
服务项目的价格进行调查,并据以编制和计算居民消费价格指数。
(2)代表规格品价格的采集
所谓“三定”原则,即“定人、定点、定时”直接采价。定人,就是同一个调查员在一定时期内固定调查相同的商品和服务项目;定点,就是同一个调查员在一定的时期内所调查的网点固定;定时,就是固定调查员采集价格的日期和具体时间。
(3)不同类别的权数的确定
根据调查员采集得来的各种代表规格品的价格数据,可以计算出每一种代表规格品的个体价格指数,并进而计算出每个基本分类的价格指数,但如果要根据各个基本分类的价格指数进一步计算出更高类别乃至全部商品和服务的价格总指数,就还需要有每个类别的权数资料。
(4)居民消费价格指数的计算过程
④各省和全国月环比价格指数的计算。
⑤定基价格指数和同比价格指数的计算。有了每个月的环比价格指数,则将其连升,
2. 生产者价格指数的编制
生产者价格指数,是反映生产企业所生产产品的产出价格以及为生产而购进的原材料、燃料和动力的投入价格随时间变化的比率指标,有生产者产出价格指标和生产者投入价格指数两种。
(1)产品篮子和代表产品的确定
选择代表产品应遵循以下五个原则:
①按工业行业选择基本分类和代表产品。②选择对国计民生影响大的产品。③选择生产较为稳定的产品。④选择有发展前景的产品。⑤选择具有地方特色的产品。
(2)代表产品价格的采集
在选择代表企业时,应遵循以下三个原则:
①按工业行业选择调查企业。②大型企业应尽量都选上(或占相当大比重)。同时,也应采用抽样方法适当选择一些中小企业,使工业生产者价格指数更加准确、全面地反映客观实际。③选择生产稳定、正常的企业作为调查对象。一旦企业被选中作为调查企业,就要稳定一段时间,所以选择调查企业时一定要注意其是否生产正常、稳定。
(3)各类权数的确定
权数是衡量调查“产品篮子”中每类代表产品重要性的指标。
(4)工业生产者价格指数的计算
①代表产品月环比价格指数的计算。
④各省(区、市)和全国月环比价格指数的计算。
⑤定基价格指数和同比价格指数的计算。
3. 股票价格指数的编制
证券市场是现代社会中居民投资和企业筹措生产发展资金的主要场所,而且对于经济的波动异常敏感。
国民经济生产量指数的编制
1. 生产法不变价格国内生产总值和国内生产总值指数
生产法计算的国内生产总值也就是国民经济各个行业的增加值之和,即各行业的货物与服务产出总额与生产中原材料等投入总额之差的总和。如果使用拉氏指数原理编制国内生产
(1)价格指数双缩法
在编制国内生产总值指数时,如果能取得某个行业现期与基期相比的产出帕氏物价指数和投入帕氏物价指数,即如果有:
(2)价格指数单缩法
在现实中,某个行业既有产出价格指数,又有投入价格指数的情况并不多见,有些行业可能只有产出价格指数,但却缺乏投入价格指数。即有:
(3)物量指数外推法
如果缺乏行业的产出价格指数和投入价格指数资料,但是却可以推算出该行业的生产量和投入量指数,则可以借助其物量指数推算出按不变的基期价格计算的该行业的增加值。也就是说,如果能有某个行业的生产量指数和投入量指数分别为:
2. 支出法不变价格国内生产总值和国内生产总值指数
使用支出法计算,国内生产总值就是最终消费支出、资本形成总额与净出口的总和,也就是整个国民经济的最终产品的总值。如果记某类最终产品的数量为Q,价格为P,则国内生产总值指数就应写为:
如果统计部门编制有最终产品中各个组别的价格指数,如居民消费价格指数、政府消费价格指数等,就可用这些价格指数对现期各个组别最终产品的现价总值进行缩减,从而得出用不变的基期价格计算的各个组别的最终产品总值。也就是,若已知某个最终产品组别的价格指数
当计算出最终产品的所有各个组别的现期不变价格总值以后,将其全部加总,就得到了支出法计算的全国不变价格国内生产总值。