国债期货上涨意味什么「国债涨跌与股市关系」
不得不说,国债期货已成为债券交易员日常工作中不可或缺的部分,多则十几万手、少则两三万手的成交量,大约几百亿的成交金额,不仅撬动了规模庞大的现券市场,对210、1710、1714等活跃券呼来喝去,甚至在很多时候主导了IRS的波动。
随着今年市场波动放大,曾经温柔如水的国债期货竟然也会暴涨暴跌乃至跌停,市场不禁对其刮目相看,一时间,“商品巨头转战说”、“市场大佬联盟说”等解读迅速传播,交易员对国债期货愈加爱憎分明,有人主动出击,有人被动挨打,不少银行的小伙伴眼巴巴地看着期货的表演,心想有朝一日能入市,待俺赶上前去,杀他个干干净净。
然而,对于大部分玩家来说,国债期货只是简单粗暴的投机工具——央妈放钱了?买买买!数据超预期?卖卖卖!监管要加强?继续卖!又要维稳啦?买回来!……对于期货的标的是什么、买那个合约更划算、套利盘的入场标准、做平/做陡的依据等问题,却不愿深究。知己知彼,方能百战不殆,盲目的投机终将破财,深入了解我们交易的对象才是稳定盈利的开端。探索国债期货的内在逻辑,不妨从这里开始。
1. 标的物——名义标准券
2. 可交割券与转换因子
3. IRR的计算与应用
4. 最便宜可交割券(CTD)
5. 正向套利与反向套利
6. 期货的曲线交易
1. 标的物——名义标准券
根据中金所的合约设计,10年期国债期货合约的标的是“面值为100万元人民币、票面利率为3%的名义长期国债”。所谓名义,即在现实的市场中并不存在这只债券,而是为了期货合约的标准化而设计的一只假想券。对于T1709合约而言,我们交易的对象是在T1709合约交割时,剩余期限为10年,票面利率为3%的(假想)国债;对于T1712,我们交易的对象则是T1712合约交割时,剩余期限为10年,票面利率为3%的(假想)国债。
与“名义”券相对应的是现实存在的债券。国内历史上曾经存在过标的现实存在债券的期货合约,由于期货交易金额远大于合约标的现券的市场存量,多方逼空,多空资金的对赌之下,发生了惊心动魄的327事件。了解这一段历史,可以参见陆一先生所著《中国赌金者》,此处不作展开。
对于T1709合约而言,其交割月份为2017年9月。T1709的多头在合约交割之后,应当获得自2017年9月起算,剩余期限为10年,票面利率为3%的10年期假想国债。该债券的现金流如下:
假如市场认为今年9月份,10年期国债的收益率水平约为3.6%,则这只假想券的价格应该为:
也就是说,如果T1709当前的市场成交价格约为95元,表示市场对2017年9月时,10年期国债的收益率水平定价约为3.6%。
2. 可交割券与转换因子
国债期货采用实物交割。根据中金所的规定,5年期国债期货的可交割券为“合约到期月份首日剩余期限为4-5.25年的记账式附息国债”,10年期国债期货的可交割券为“合约到期月份首日剩余期限为6.5-10.25年的记账式附息国债”。从2017年9月1日起算,剩余期限在6.5-10.25年的记账式付息国债有18只,最新的是170018,最老的是050004,这18只国债都可以作为T1709的可交割券,参与T1709的到期交割。
对期货合约而言,其可交割券剩余期限、票面利率各不相同,在实物交割时会产生麻烦。试想,假如某多头买入100手T1709,那么在交割之时,他理应获得面值1亿元的名义标准券,如果空头用1亿元面值160023参与交割,多头是不乐意的,因为160023的票面利率仅有2.7%,1亿元面值160023的价值低于1亿元面值名义标准券的价值。为了合理调整各个可交割券与名义标准券的换算比例,转换因子(CF,Conversion Factor)应运而生。
转换因子的公式是令人头疼的存在,但其原理并不复杂。转换因子可以理解为1元面值的可交割券在未来的各期现金流,按照名义标准券的票面利率,折现至交割之时的净价。
以T1709和160023为例,T1709的最后交易日为2017年9月8日,参与最终交割的多空双方将在9月12日进行券款对付(DVP交割模式)。9月12日,面值1元的160023现金流状况如下:
我们分三步计算160023的未来现金流,按照3%折现至2017年9月12日的净价。
第一步,计算160023在上一付息日(2017年5月3日)的净价:
第二步,计算160023在2017年9月12日的全价:
第三步,全价减掉自2017年5月3日至9月12日的应计利息,得净价:
可以认为,在9月12日,同样按照3%的收益率,面值1元的160023净价仅为0.9762元,而面值1元的名义标准券的净价为1元。当使用160023进行期货交割时,为了达到与交割1个单位名义标准券相同的效果,所需160023应为1.0244(=1/0.9762)个单位。0.9762提现了160023与名义标准券之间转换的比例,也就是T1709和160023的转换因子。
上述过程中,我们计算的是在2017年9月12日的转换因子,而期货空头在进入交割月之后,无需等到最后交易日结束,即可选择提前交割。如果期货空头在9月1日即申请交割,则其实际券款对付日为2017年9月5日。按照同样的过程,可以算出面值1元的160023,收益率3%时,在2017年9月5日的净价:
可见,尽管两个实际交割日期有所不同,但其各自的转换因子差异甚微。也正是由于实际交割日期可以有所不同,中金所公布的转换因子计算公式不再精确至具体的某一日,只精确到月份,所得的转换因子与与精确到具体交割日期所得出的结果差异不大。上面列出的中金所官方发布的转换因子公式,便是将上述计算过程公式化,并在精确程度上按月处理的结果。
有两点需要说明:
第一,转换因子一经得出,不再改变。从上述计算转换因子的过程可以看出,期货合约的到期月份、可交割券的现金流、折现率(3%)都是确定的,即计算过程中不存在变量,因此,给定期货合约和可交割券,便可得出唯一的转换因子,转换因子不因市场收益率变动或时间的变更而改动。
第二,之所以使用名义标准券的票面利率来对可交割券的未来现金流进行折现,是为了方便比较可交割券与名义标准券的转换关系,这也是国际上的通用做法。对中金所交易的国债期货而言,收益率为3%时的名义标准券是一只平价债券,其净价恒定为1,因此,只需计算可交割券的净价,便可以得到两者的转换关系。当然可以按照当前市场收益率(如3.5%)计算T1709和160023的转换因子,那么计算过程将复杂化:先按照收益率3.5%计算160023在9月份的净价,再计算名义标准券的净价(其净价不再等于1),最后计算二者的转换比例。采用此种方法,最后得出的转换因子与0.9761会相差甚微,但计算过程会更加繁琐。
3. IRR的计算与应用
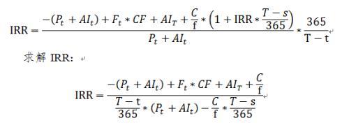
IRR为国债期货蒙上了神秘的面纱,几乎成为划分“专业投资人”和“散户”的界限。此IRR不同于CFA中著名的Internal Rate of Return,而是Implied Repo Rate,在做空期货的同时买入期货合约的可交割券,并在期货合约到期时用可交割券进行期货交割,整个过程的年化持有期收益率便是IRR。期间,如可交割券发生票息支付,所得票息以IRR进行再投资。
以170010和T1709为例说明。8月1日盘中,假设以3.6225%的收益率 0买入1个单位170010,同时做空1.0433个单位名义金额的T1709(1.0433是T1709与170010之间的转换因子,如果买入100亿元170010,则应做空104.33亿元名义金额的T1709,即10433手)。设做空T1709的成本为94.670。持有该组合至T1709的最后交易日(9月8日),并于9月12日进行DVP交割。
整个过程现金流如下:
1)8月1日,以3.6225%买入170010的净价为99.1598,应计利息0.8513,全价100.0111。当日现金流为-100.0111;
2)8月1日至9月12日之间,170010没有利息支付,因此整个过程不产生现金流(期货逐日盯市产生的盈亏体现为94.670和交割结算价之间的差异,对IRR计算不产生影响)。
3)9月8日,T1709的交割结算价确定,设为P。8月1日至9月8日,期货端的损益为(94.670-P)*1.0433。
4)9月12日,用170010进行T1709交割,获得交割货款为P*1.0433 1.2530,1.2530是170010在9月12日的应计利息。
从8月1日至9月12日共有42天,期间年化持有期收益率计算如下:
此处的持有期收益率就是按照3.6225%买入170010,同时按照94.670做空T1709的IRR。将上述过程总结为公式:
其中,t表示建仓日,上例中为2017年8月1日;T表示第二交割日,上例中为2017年9月12日;Pt表示可交割券在t日的净价,上例中为99.1598;AIt和AIT分别表示可交割券在t日和T日的应计利息,上例中分别为0.8513和1.2530;Ft表示t日做空期货的成本,上例中为94.670;CF表示转换因子。
上述计算IRR的过程并不复杂,原因在于在8月1日至9月12日之间,170010不产生票息。如果可交割券在t日和T日之间的s日产生了票息C/f(C表示债券的票面利率,f表示债券在1年之中的付息频率,我国国债付息频率为1年1次或2次),根据IRR定义,如可交割券发生票息支付,所得票息以IRR进行再投资,此时,IRR的计算将稍显复杂:
此为在建仓日和第二交割日之间,有一次利息支付时的IRR。
更为复杂的一种情况为,建仓日和第二交割日之间,可交割券有两次利息支付。例如,2017年8月1日买入170004,同时卖空T1803。T1803的第二交割日为2018年3月13日,在此期间,170004将于2017年8月9日和2018年2月9日产生票息。假设可交割券在t与T之间的s日与r日产生票息:
第三个公式由于过于恶心,同时在实操中仅针对10年期可交割债和最远月合约适用,而最远月合约通常流动性不佳,因此实用性不强。
上述几个例子中可以看出,IRR代表了按照即时的市场价格,多现券、空期货所锁定的组合收益水平。只要IRR大于0,理论上就可以获得正收益。听上去不错,但是不要忘记,建立这个组合的之初需要买入现券,从而占用资金,如果资金成本,或机会成本,大于组合收益(IRR),那么建立这个组合便没有意义。因此,IRR在实际应用中,参照对象多为操作者的资金成本/机会成本。如果IRR显著高于资金成本,则买入现券、卖空期货并持有至到期将获得无风险收益。当然即便IRR低于资金成本,只要IRR足够大,依然可以通过买现卖期,做空IRR,并在IRR减小之后,于期货到期前提前平仓,获取收益。
4. 最便宜可交割券(CTD)
期货交割时,期货合约的空方具有一系列空方选择权,其中价值最高的期权通常为质量期权(Quality Option),即国债期货空方有权在一篮子可交割券中选择对其最有利的券进行交割,这只券就是最便宜可交割券(Cheapest to Deliver)。例如,假设期货合约有A、B、C三只可交割券,三者的转换因子的值均在1附近,但券A的市场价格为102,券B的价格为98,券C的市场价格仅为70,显然,作为理性人,买入券C来进行交割对空方最为有利。通常,IRR最大的可交割券就是CTD,这意味着用CTD交割,空方拥有最大的持有期收益率,对其最为有利。
在实际操作中,理论上的CTD和实际使用的CTD通常有所差异,原因在于,在期货合约的诸多可交割券中,活跃券通常只有3只左右,非活跃券的IRR计算过程中通常要使用其中债估值作为现券端价格的计算依据,而众所周知,非活跃券有价无量,即便得出很高的IRR,依然不具有操作意义,因此,实际使用的CTD通常只在几个活跃券中选择。
5. 正向套利与反向套利
国债期货的正向套利和反向套利都属于期现套利,正套或反套入场的判别依据通常为CTD的IRR或是基差。对国债期货而言,基差=现券价格-期货价格*转换因子,与IRR类似,同样描述了期货价格与可交割券价格的相对关系。期货价格相对于某只可交割券越高,IRR越大,基差越小,此时可以进行正向套利,或者称为做多基差,即买入1单位名义金额的该可交割券,同时做空CF单位名义金额的国债期货;期货价格相对于CTD越低,则IRR越小,基差越大,此时可以进行反向套利,或者称为做空基差,即做空1单位名义金额的CTD,同时做多CF单位名义金额的国债期货。
需要特别注意的是,正向套利时,只要IRR足够高,即便不适用CTD,依然可以用其他可交割券进行正向套利,原因在于,正向套利者是期货空头,具有交割选择权,有权用任意可交割券进行期货交割。但是对于反向套利而言,只有当CTD与期货之间的IRR足够低时,才具有套利空间。试想,如果做空了非CTD得可交割券A,同时买入国债期货,对于其期货对手方而言,大概率会选择用CTD进行交割,因而在交割后,套利者得到CTD券的多仓和非CTD券A的空仓,这将无法完成无风险套利。
6. 期货的曲线交易
理解期货与现券的关系之后,期货的曲线交易就变得十分简单。在当前的市场上,可用的工具只有5年期和10年期国债期货,因此,曲线交易暂且只能做陡或做平5-10期货收益率曲线。
例如,8月2日,TF1709收盘价为97.255,T1709的收盘价为94.645。以5年期活跃券170014和10年期活跃券170010为抓手进行试算:170014和TF1709的转换因子为1.0208,170010和T1709的转换因子为1.0433。1.0208*97.255=99.2779,表示如果以97.255为成本建仓TF1709,可以将170014在期货第二交割日(9月12日)的净价锁定在99.2779。同理,以94.645建仓T1709,可以将170010在9月12日的净价锁定在98.7431。知道两只债券在9月12日的净价之后,便可以算出二者在9月12日的收益率,分别为3.6336%和3.6756%。这便是期货价格所隐含的170014和170010在9月12日的收益率水平。如果交易者认为3.6336%-3.6756%的5-10曲线过于平坦,希望做陡曲线,便可以通过做多TF1709,同时做空T1709来达到目的。
与现券曲线交易和IRS曲线交易类似,国债期货的曲线交易同样需要做好久期匹配。在实操中,国债期货合约的修正久期可以用CTD的修正久期替代,因此,在上述曲线交易中,可以用170014和170010的修正久期来确定TF1709和T1709的交易手数。
前文讲述了国债期货中一些较为基本和常用的要点,国债期货的玩法还有很多,例如套期保值、跨期套利、交割期权定价、移仓中的交易机会等等,未来上市2年期国债期货之后,还可以进行期货凸性交易,再进一步,还有国债期货期权等更为复杂的金融工具。交易不只是追涨杀跌,深入探索,另辟蹊径,才能看别人看不到的风景。