如何降低杠杆风险「去杠杆措施」
作者简介
张晓晶(中国社会科学院国家金融与发展实验室)
常 欣 (国家资产负债表研究中心)
发表于《China Economist》2017年第1期
摘要
本文利用最新的宏观金融数据对截至2015年末中国全社会杠杆率以及居民、非金融企业、政府和金融机构的分部门杠杆率做了最新估算。特别强调非金融企业部门加杠杆的趋势非但没有得到有效的遏制,反而呈现进一步加剧的态势,需要引起警惕。考虑到政府部门加杠杆是危机以来国际上的基本趋势,我们在对实际经济增长率与实际利率的差值以及银行坏账率进行不同情景设定的基础上,对政府债务率的动态演变路径进行了模拟。结果表明,未来20年政府部门杠杆率会持续走高,不会出现收敛。鉴于杠杆率攀升、债务负担加重和不良资产增加成为今后一个时期中国主要的金融风险,我们认为应在加大供给侧结构性改革的基本前提下,结合实体经济去产能、去库存和处理僵尸企业的步伐,以处理不良资产为抓手,通过综合施策稳步“去杠杆”,防止债务问题触发系统性金融危机。
关键词
杠杆率;风险;供给侧结构性改革
* 本报告总负责人李扬;国家资产负债表课题组成员汤铎铎、李成、刘学良、李育对报告的形成亦有贡献。
通讯作者:张晓晶,北京市朝阳区京广中心商务楼9层(100020)。Email:[email protected]。
2008年国际金融危机以来,主要发达经济体都不约而同地将去杠杆作为走出危机的重要举措。党的十八届五中全会做出“降低杠杆率”的战略部署,2015年末,中央经济工作会更是将“去杠杆”列为供给侧结构性改革的重要内容之一。
过高的杠杆率意味着较大的金融风险。外界关于中国可能爆发债务危机的说法,也很大程度上基于中国杠杆率快速攀升的数据。去杠杆表面上看是周期性问题,但实际上却直接关涉到整个经济的结构性调整。同时,去杠杆作为全球性问题,也和如何稳定总需求之间形成巨大张力。鉴于去杠杆的复杂性,我们认为,去杠杆宜提高针对性,按照供给侧结构性改革要求积极稳妥推进。
一、过高的杠杆率有什么不好
现在人们都在谈去杠杆。杠杆率过高有什么不好?这个道理并非不言自明,而是需要从理论层面上做出深入剖析1。
1 Buttiglione, Luigi, Philip R. Lane, Lucrezia Reichlin, and Vincent Reinhart. 2014. “Deleveraging, What Deleveraging?” The 16th Geneva Report on the World Economy.
过高的债务杠杆率会带来短期和长期的风险。
就短期风险而言,对于借款人偿债意愿和偿债能力的担心可能造成贷款人不愿提供新的贷款或贷款展期,进而导致融资困难。由于这种担忧由预期所致,因此可能会引发“自我实现”式的多种均衡结果:如果贷款人信心较强,则要求的风险溢价较低(即利率水平较低),债务可持续性也相应改善;如果恐慌加剧,则风险溢价走高,进而损害债务可持续性。相关地,当贷款人担忧借款者通过变卖资产偿债时,则风险溢价高企也会同资产廉价抛售同时出现。以上贷款人信心同债务可持续性之间的双向反馈是评估债务水平是否超过某种“安全阈值”的重要考量因素(即不会触发这一反馈机制的安全债务水平)。
大量经验研究表明,较高的债务水平将增加经济系统的脆弱性,降低其抵御金融危机的能力。金融危机一般包括三种类型:银行危机、主权债务危机、外部危机(即一个经济体无法偿还外债,或无法获得外部融资以弥补经常账户赤字)。
过高的债务也会引发道德风险和部门间的利益分配之争。例如,出于效率考量或迫于政治压力,政府可能接管私人债务。但对于获得救助的预期,可能招致私人部门偿债约束的废弛,特别是当债务问题影响足够广泛时,道德风险尤甚。类似地,如果银行含有政府股份,则私人部门可能认为其偿还银行贷款的约束较弱。最后,从国家的视角看,一个经济体的国际投资净头寸总额构成了其对外的资源约束:如果外债较多,进行部门间债务转移的国内政策将受到掣肘。相反,在一个净债权国(即投资净头寸为正值),一个部门层面的债务问题风险较低:因为拥有净对外资产的部门可以为拥有净对外负债的部门提供支持。这一机制解释了在不同的对外资产负债状况下,主权债务较高对经济体的影响迥异(如日本和外围欧洲国家的对比)。
过度负债的长期危害,主要是指通过对激励和生产能力的不利影响,拖累宏观的以及部门层面的经济表现。在极端情况下,甚至可能出现债务“拉弗曲线”(Laffer Curve)效应,即当相关的扭曲严重到一定程度时,债权人反而可能从减记债务中获益。
债务积压有不同表现形式。经验证据表明,企业和居民部门过高的债务杠杆率可能损害宏观经济表现。尽管公司金融的基准模型假定融资结构(债务、权益比例)对资源配置和生产决策没有影响,但相关研究则证明了债务水平可能改变企业的投资决策。在居民方面,债务积压指这样一种情况:过度负债的居民不得不放弃在住房改善或劳动力供给方面的投资,进而对宏观经济带来不利影响;同时,较高的居民负债水平也可能通过抑制消费而拖累经济。
金融部门的债务积压会引发以下情形:当债务过高时(相对于资产),贷款决策会发生扭曲。即由于银行着力收缩资产负债表和削减债务(主要通过资产处置或增加资本金),优质项目得不到融资。银行部门系统性去杠杆的负面影响包含在各种调整银行资本结构的政策之中——包括国有资本注资。
对主权部门而言,过高的负债水平会抑制经济活动。其背后机制有二:其一是债务高企会导致税负加重;其二是关于如约偿债还是债务重组的讨论将引发政策不确定性。尽管因果作用方向尚不明确,但实证研究发现公共债务水平与经济增长表现存在负向关联。
最后,外债过高也会带来一系列经济扭曲。一个典型的例子是较多的对外债务偿还将制约国内经济资源的扩张,从而形成类似于对投资增税的影响。同样地,如果国内居民满足于有限的对外投资收益,则政府推行促进经济增长政策的激励也会受到削弱。此外,过高外债也会增加融资市场的脆弱性:较高的延迟偿债风险和较大的债务存量并存时,可能使新的贷款者提供融资的意愿下降。对此,经验研究显示,外债高企往往与较差的宏观经济表现和较高的对外脆弱性相伴。
除了以上短期与长期影响外,债务杠杆也可以改变宏观经济在各种周期性因素影响下的运行路径。一般而言,杠杆具有顺周期性,即收入增加和资产价格上涨能够提高融资能力,收入减少和资产价格下降则会削弱融资能力。这一性质使得杠杆率同经济周期的剧烈程度和持续时长正向相关。此外,较高的杠杆率也会影响实体部门的支出水平和生产能力,进而增加了其在面对金融扰动时的脆弱性。上述问题受到广泛关注,大量新近的宏观经济模型从居民、企业、银行、主权部门以及国家整体等不同视角对此进行了研究。
二、全球去杠杆的基本事实
去杠杆是本轮危机以来国际社会的共识,但进展却非常有限,甚至总杠杆率不降反升。这成为全球去杠杆的基本事实。
以债务/GDP指标来衡量,全球的杠杆率仍在上升,且上升速度并未减缓。去杠杆化过程仅发生在一些部门层面,而总体去杠杆尚未开始,债务率仍居历史高位。麦肯锡2015年初的一份报告称,自2007年金融危机以来,全球债务已经增加了57万亿美元,超过了全球GDP的增长。如今所有主要经济体债务相对于GDP的水平都要高于2007年,债务占GDP的比重上升了17个百分点,从269%上升到了286%。
发达经济体(如美国和英国)金融部门和家庭部门的去杠杆过程进展显著,然而这是以公共部门的债务上升为代价的。以美国以例,杠杆率变化呈现三个特点:一是实体部门总体加杠杆,从2007年的229%,上升到2015年的250%。二是居民部门与金融企业部门去杠杆明显,地方政府部门小幅去杠杆。2007~2015年,居民部门杠杆率由97.8%下降到78.1%,金融企业部门杠杆率由52.6%下降到27.7%,地方政府部门由19.6%下降到16.6%。三是非金融企业部门先去后加杠杆,变化不大,基本上在70%上下。联邦政府持续加杠杆,由42%上升到84.5%(见表1)。
而公共部门债务的上升,则成为全球去杠杆中最重要的缓冲器。当然,在不同层级的政府之间,债务动态变化的趋势也不尽相同。总体来说,中央政府的缓冲器作用更强一些(见表3)2。
2细心的读者会发现,表1、表2、表3中的数据有所出入。这表明,即使同样一个指标,由于数据来源不同、涵盖范围不同,也会造成结果的不同。但总体上,这些数据的出入不大。
基本上是中央政府与地方政府债务之和3 。
三、中国杠杆率的最新估算及其风险含义
(一) 全社会杠杆率继续攀升,去杠杆任重道远
加总居民、非金融企业、政府三大部门的杠杆率,得到2015年末中国实体部门(不含金融机构)的债务规模为154.26万亿元,实体部门杠杆率为228%。2014年第二季度,美国实体部门杠杆率为233%。
从实体部门杠杆率的变化情况看,在2014年有所放缓之后(2013年提高17个百分点,2014年仅提高3个百分点),2015年又再次加快(全年提高11个百分点),实体部门杠杆率加快上升的态势值得关注(见图1)。
进一步加总居民、非金融企业、政府与金融机构这四大部门的杠杆率,得到2015年末中国经济整体的债务规模为168.48万亿元,全社会杠杆率为249%。
从全社会杠杆率的变化情况看,也是在2014年有所放缓之后(2013年提高17个百分点,2014年仅提高3.5个百分点),2015年又再次加快(全年提高13.6个百分点),这一趋势性变化亦需要引起我们的警惕(见图2)。
(二) 居民部门杠杆率有上升空间,加杠杆应遵循市场规律
根据中国人民银行编制的金融机构本外币信贷收支表(按部门分类),截至2015年末,住户部门未偿贷款余额27万亿元(其中,消费性贷款18.9万亿元,经营性贷款8.1万亿元),占GDP的比重为39.9%。
对比2014年,2015年末,本外币住户贷款余额同比增长16.8%,增速比上年末提高0.2个百分点;全年增加3.87万亿元,同比多增5810亿元。其中,本外币住户消费性贷款余额同比增长23.3%,增速比上年末提高4.9个百分点,全年增加3.59万亿元,同比多增1.19万亿元;住户经营性贷款余额同比增长3.8%,增速比上年末低9.2个百分点,全年增加2853亿元,同比少增6117亿元。
从居民部门杠杆率的变化情况看,2015年比2014年增加3.5个百分点,而2014年较2013年仅增加1.4个百分点,表明居民部门加杠杆的趋势进一步显现(见图3)。
就国际比较来看,发达经济体居民部门杠杆率都远高于中国,这也是为什么危机以来,发达经济体居民部门去杠杆明显。而在中国,居民部门加杠杆还有较大空间。不过,问题在于如何给居民部门加杠杆。这应该是一个渐进的过程。如果由政府来呼吁和诱导,结果可能会适得其反。居民部门加杠杆仍应遵循市场规律,让市场在其中发挥决定性作用。
(三) 非金融企业部门杠杆率攀升加快,成为去杠杆重中之重
根据社会融资总量的分析框架,非金融企业部门从金融体系获得的全部资金总额包括以下三个方面。
一是非金融企业部门通过传统贷款渠道获得的资金支持。根据中国人民银行编制的金融机构本外币信贷收支表(按部门分类),截至2015年末,非金融企业及其他部门(住户部门和非银行业金融机构以外的部门)贷款68.8万亿元。
二是非金融企业部门利用债务类金融工具直接从金融市场募集的资金。根据债券市场的统计,截至2015年末,信用类债券存量规模14.63万亿元。
三是非金融企业部门通过银行部门信贷以外的信用中介活动获得的融资,主要包括信托贷款、委托贷款、银行承兑汇票等形式。根据中国人民银行发布的社会融资规模存量的年度统计数据,2015年末,委托贷款余额为10.93万亿元,信托贷款余额为5.39万亿元;未贴现的银行承兑汇票余额为5.85万亿元。由此,整个金融体系通过类影子银行渠道向非金融企业部门投放的信用规模为22.17万亿元。
将三个方面的融资规模加总,得到2015年末非金融企业部门债务余额105.6万亿元,占GDP的比重为156.1%。再扣除后面估算的地方政府融资平台债务规模,由此得到的非金融企业部门债务余额88.8万亿元,占GDP的比重为131.2%。
从非金融企业融资的内部结构看,通过贷款、债券和类影子银行渠道获得的资金大体约分别占65.2%、13.8%和21%。而在2014年,三者的比例分别为65.1%、12.3%和22.6%。通过对比可以发现,通过债券融资的比例进一步上升,而通过类影子银行融资的比例受到进一步抑制。
从非金融企业部门杠杆率的变化情况看,2015年比2014年增加7个百分点,而2014年较2013年仅增加1个百分点。可以看出,非金融企业部门加杠杆的趋势非但没有得到有效的遏制,反而呈现进一步加剧的态势(见图4)。
这种情况的出现,可能一方面由于去杠杆的落实还不是很到位,如清理僵尸企业就是难啃的硬骨头。僵尸企业大量存在,实体经济新增的收入不足以覆盖到期债务,当出现明斯基(Minsky)意义上的投机性融资甚至庞氏融资局面时,持续的借新还旧导致大量资源用于维系债务,不断推升杠杆率水平。另一方面,并可能与2014年底以来货币政策再次扩张有关。这可以从M2/GDP的变化中反映出来(见图5)。该指标自金融危机以来总体上升趋势十分明显,尽管2014年微降4个百分点,但2015年再次转为上升15个百分点,是金融危机以来的第二大升幅(仅次于2009年的强刺激时期)。此外,对于地方融资平台债务的处理也出现了新的变化。根据我们的估算,地方融资平台债务占到GDP的25%(即1/4)。融资平台债务归属有较大的模糊性,既可以归到企业部门(因为这些融资平台本身就是企业,如城投公司,有些平台还含上市公司),也可以归到地方政府(因为这些融资平台债务是以地方政府名义借的,也是服务于地方政府的。当然,现实中可能并非如此)。由于新《预算法》的出台,自2015年起通过融资平台借的债中央不再承认,这可能也使得一些平台债务从地方政府剥离,变成了企业部门的债务。这个变化,是我们在进行部门杠杆率估算以及进行风险评估时要引起注意的。
(四) 政府部门微弱去杠杆,并非趋势性变化
政府部门包括中央政府与地方政府。
首先是中央政府债务。根据财政部披露的数据,截至2015年末,纳入预算管理的中央政府债务10.66万亿元。
其次是地方政府债务。我们仍然按照地方政府融资平台债务和非融资平台公司地方政府债务(含地方政府部门和机构、经费补助事业单位、公用事业单位和其他单位)的框架来估算地方政府债务。
从地方政府平台公司的三种融资形式看:一是银行贷款。2015年,平台贷款仍受到银监会的严格控制,但在稳增长的背景下,为了支持一些大型基建投资,防止其因资金不足而停工,一些地方融资平台公司的存量在建项目仍然受到了一定额度的贷款支持(据不完全统计,约为2000亿元)。基于上述情况估算,截至2015年末,地方政府融资平台贷款余额在2014年的基础上略增至10.2万亿元。二是发行城市建设投资公司债券(即“城投债”)。根据Wind数据统计,截至2015年末,平台公司债券存量未到期4万亿元。三是基建信托等类影子银行渠道。根据中国信托业协会发布的信托公司主要业务数据,截至2015年末,投向基础设施项目的信托贷款总额达2.6万亿元。将以上三类合计,得到2015年末地方政府融资平台债务余额16.8万亿元。
关于融资平台公司债务,按照新修订的《预算法》和国发[2014]43号文的规定,自2015年1月1日起,地方各级政府不得再通过融资平台公司举借政府债务。地方政府只以出资额为限承担有限责任,不能承担无限责任。这意味着,融资平台公司举借的债务,将不再是地方政府法定必须要偿还的债务,或者说法律上负有偿还责任的债务。
尽管法律法规出现了这一重大变化,这里我们在估算地方政府债务时仍然考虑了融资平台债务,这主要是出于两方面的考虑。
一是存量意义的考虑。对融资平台公司截至2014年底新《预算法》实行之前发生的举借用于公益性基础设施项目、确实属于政府应当承担偿还责任的债务,经过各级政府清理、甄别、核查,已纳入到地方政府债务限额之内,应该予以考虑。
二是过渡意义的考虑。对于融资平台的债务,在新法出台后,可能面临着从直接或显性债务到或有或隐性债务演变的过程。融资平台债务进入或有债务的范围,是因为这些债务大多有相应的经营收入为偿债来源,只有在被担保人和债务人自身偿债出现困难时,政府才需要承担一定的偿还或救助责任。但我们认为,在融资平台转制进入一般国有企业序列之前,应经历一段相对平滑过渡的转轨期。在过渡时期,其债务也应予以考虑。
从我们估算的融资平台债务规模看,截至2015年末,已占到整个地方政府债务规模的60%,在全部政府债务规模中也占到43.7%。如此体量的债务规模,如果从政府部门中完全剔除,会在时间序列趋势中形成一个明显的结构性断点。为确保年度间数据的可比性,也需要采用平滑处理的方法。
关于非融资平台公司的地方政府债务。根据财政部最新披露的数据,截至2015年末,纳入预算管理的地方政府债务16万亿元,而根据全国人大常委会批准《2015年地方政府债务限额的议案》中反映的数据,2014年末地方政府负有偿还责任的债务余额为15.4万亿元。通过对比发现,一年中地方政府负有偿还责任的债务余额增长了0.6万亿元,增幅为3.9%。我们假定非融资平台公司的地方政府债务余额也以相同速率增长,由此得到2015年底该部分债务存量为11万亿元。
上述两部分总计,地方政府债务达27.8万亿元。
将中央政府债务和地方政府债务加总,得到政府债务总额38.46万亿元,占GDP的比重为56.8%。
从政府部门杠杆率的变化情况看,在2014年杠杆率保持不变的基础上,2015年比2014年又下降了1个百分点,进一步确立了政府部门去杠杆的趋势(见图6)。如果做进一步细分,分别观察中央政府和地方政府债务的增长情况大体可以发现,中央政府轻微加杠杆(从2014年的15%上升至2015年的15.8%)、地方政府逐步去杠杆(从2014年的42.8%下降至2015年的41.1%)的趋势。如果我们参照财政部最新披露的数据,地方政府去杠杆的趋势更加明显。财政部的数据表明,截至2015年末,纳入预算管理的地方政府债务16万亿元,加上地方政府或有债务,即政府负有担保责任的债务和可能承担一定救助责任的债务(按照2013年6月审计署匡算的平均代偿率20%估算),2015年全国地方政府债务余额为17.4万亿元。照此推算,即便按照100%的代偿率,2015年全国全口径地方政府债务余额也仅为23.1万亿元。相较全国人大常委会批准《2015年地方政府债务限额的议案》中披露的2014年末地方政府债务余额24万亿元的情况,不但地方政府部门的杠杆率下降了(从2014年的37.7%下降至2015年的34.1%),甚至连绝对规模都出现了减少。
4根据2015年初发布的麦肯锡报告,由于相当数量的外资银行和其他金融机构在当地设立区域总部,造成新加坡金融部门的杠杆率高达246%。英国,爱尔兰和荷兰也都是金融港,金融部门的杠杆率曾分别高达183%,291%和362%。
从国际比较来看,政府部门加杠杆是危机以来的基本趋势。就中国而言,尽管地方政府债务问题是较大隐患,但中央政府仍有加杠杆空间。如果分部门看,在企业部门去杠杆的同时,政府部门需要加杠杆以维持相对稳定的总需求。从这个角度看,当前政府部门微弱去杠杆只是暂时的现象,并非趋势性变化。未来,政府部门仍将是一个渐进加杠杆的过程。
(五) 金融机构部门加杠杆,风险含义须慎重解读
我们仍然仅考虑金融部门发行的债券余额,形成窄口径金融部门杠杆率。根据Wind数据统计,截至2015年末,政策银行债券余额10.77万亿元,商业银行债券0.6万亿元,商业银行次级债券1.4万亿元,保险公司债券0.26万亿元,证券公司债券0.95万亿元,证券公司短期融资券0.04万亿元,其他金融机构债券0.2万亿元。上述诸项相加,金融机构债券余额合计14.22万亿元,占GDP的比重为21%。
从金融机构杠杆率的变化情况看,在2013年和2014年连续两年保持平稳态势之后,2015年上升较为明显,全年提高2.6个百分点,表明金融机构也在呈现加杠杆的趋势(见图7)。
如果我们借鉴SNA2008和麦肯锡方法来估算宽口径的金融部门杠杆率5,则近年来上升态势明显,2015年达到68%(见图8)。
5 所谓宽口径是指:金融部门债务=银行业负债 证券公司负债 保险业负债-存款-银行间同业拆借余额-银行间待回购债券余额。
不过,金融部门杠杆率要谨慎对待。对于一些经济体,一般来说,其作为商业中心或者是金融港,企业部门和金融部门的杠杆率就非常高。对于一些小型开放经济体尤其如此。比如,新加坡金融部门杠杆率为246%,主要是由于大量的外资银行和其他金融机构在那里设立区域性总部导致的,英国、爱尔兰、荷兰都是金融港,因而它们的金融部门杠杆率分别高达183%、291%和362%。
正因为金融部门杠杆率受到不同因素的影响,金融部门高杠杆未必反映出高风险。从这个角度,金融部门杠杆率的国际比较,政策含义就会较弱。这也是为什么,一般在进行杠杆率比较的时候,均采用实体部门杠杆率而将金融部门排除在外。当然,这并不意味着金融部门杠杆率没有意义,更不是说金融部门杠杆率所提出的信息没有价值。只不过,我们在解读这些数据的时候,要更加慎重而已。
(六) 对外债务去杠杆,外债风险持续降低
在上述估算的基础上,我们还考虑一种扩展的情形,即从国外部门借入的外债。
多年来,中国外债警戒指标一直处于国际安全标准之内。2014年下半年以来,在人民币汇率逐渐趋向合理均衡水平的背景下,人民币汇率由单边升值预期转化为双向波动预期,企业和居民等私人部门因此调整财务运作和优化本外币资产负债结构,由以往的“资产本币化、负债外币化”转向“资产外币(美元)化、负债本币(去美元)化”。境内微观主体特别是企业积极偿还对外负债的去杠杆化的行为使得2015年末(本外币)外债余额较2015年3月末(中国首次公布的可比口径下的全口径外债数据)下降15%。
从币种结构看,本币外债规模降速高于外币外债规模降速。2015年12月末,本币和外币外债余额较3月末分别下降18%和13%。
从期限结构看,短期外债规模下降22%,成为外债总规模下降主因。12月末,短期外债占比较3月末下降5个百分点;中长期外债基本平稳,较3月末增加14亿美元。
从债务主体看,银行等其他接受存款公司外债规模下降推动了外债总规模下降。12月末,银行等其他接受存款公司外债规模较3月末下降25%,占外债余额下降规模的80%;其他部门(企业、非银行金融机构等)外债规模也有所下降,12月末较3月末下降15%。
从债务类型看,贷款、货币与存款下降较快。12月末,贷款、货币与存款较3月末分别下降30%和24%,远高于外债总规模降幅,分别占外债余额下降规模的54%和41%,其中,贷款减少主要源于银行贸易融资下降。
外债总规模的降低,使外债整体风险下降,减小了未来的外债偿付风险。根据国际公认的外债安全指标初步计算,2015年末中国负债率为13%,债务率为58%,偿债率为5%,短期外债和外汇储备比为28%,各项指标均在安全线以内6。
6参见《2015年中国国际收支报告》。
四、中国政府部门杠杆率变动的情景模拟
任何金融危机本质上都是债务危机,而政府在危机中负有最后贷款人的责任。尽管我们分别考察分部门的杠杆率并剖析其隐含的风险,但显然,政府部门杠杆率的动态演进最值得关注,因为这直接涉及政府有没有能力来应对债务膨胀,或者因为债务增长过快而引发危机。有鉴于此,我们对政府杠杆率进行了动态情景模拟。
在《国家资产负债表2013》中我们曾经做过类似的情景分析。这次我们做了一些调整,主要包括两方面:一是对于一些参数值做了不同设定(这包括赤字率以及实际增长率与实际利率之差),二是增加了一个新的变量,即银行坏账。这里假定,银行出现坏账,政府需要救助,从而会扩大政府的债务规模。
国际货币基金组织2016年4月发布的报告称,中国公司的健康状况和偿债能力正在下降。到2015年底,银行体系中具有潜在风险的贷款总额或接近1.3万亿美元,由此可能导致商业银行产生约7560亿美元的潜在损失,这占到中国GDP的7%(约合4.7万亿元人民币)。
据麦肯锡估计,2015年中国银行体系的不良贷款率应为7%左右,远高于有关方面公布的1.7%。尽管目前银行有充分的准备消化这一损失,但如果没有措施来遏制向业绩低下的公司借贷的状况,这一比例可能迅速攀升。在这种情境下,麦肯锡预估,到2019年,不良资产率可能升至15%,并引发银行资金的严重损耗,将需要高达8.2万亿元人民币(约合1.3万亿美元)资金进行弥补。也即是说,每年的延迟还款都将增加超过2万亿元人民币(约合3100亿美元)的潜在花费。虽然这并不会导致系统性的银行危机,但也会对经济增长造成严重的消极影响。因为流动性紧缩会影响公司的资金链,打击投资者和消费者的信心。
显然,这里增加对于坏账率的考量是非常必要的。
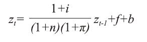
我们假设政策赤字率为f、银行坏账率为b、通货膨胀率为π、实际经济增长率为n、政府债务平均利率为i,以及政府杠杆率为z,则有下式:
相应的差分方程系统的解为:
可以用上式做情景模拟。
假设初始政府部门杠杆率为40%,政策赤字率f =2.5%,n π - i的取值分乐观(3%)、悲观(-3%)和中性(0)三种情景,银行坏账率也分低(0.1%)、中(0.5%)和高(1%)三种情景,我们对未来20年政府债务率的演变路径进行了模拟。结果如表4所示。
在三种乐观情景中,政府部门杠杆率会收敛到一个均衡值,其中,高坏账时为116.7%,中坏账时为100%,低坏账时为86.7%。收敛的条件是实际经济增长率大于实际利率。即n π - i >0。不过,值得指出的是,在未来的20年,政府部门杠杆率还是会逐步攀升,并未出现收敛。收敛时间的长短,既取决于初始的政府杠杆率,也取决于实际增长率与实际利率之差。而在悲观和中性情景中,政府部门杠杆率会持续走高,出现爆炸性增长。
关于中国政府杠杆率演进动态的情景模拟有以下两种政策含义:其一,增长的重要性。只有实际经济增长率大于实际利率,政府部门杠杆率才会出现收敛,否则会出现爆炸性增长。因此,从长期看,债务问题的化解靠的是持续增长。其二,银行坏账率的上升也会导致政府杠杆率的攀升。因此,加强监管,规范地方融资平台和企业行为,减少道德风险,清理僵尸企业,遏制坏账率上升,也是控制政府部门杠杆率攀升的重要途径。
五、积极稳妥去杠杆
我们的研究表明,危机冲击往往致杠杆率(债务占GDP比重)迅速攀升。比如1997年亚洲金融危机爆发、2000年I T泡沫破灭,均导致了我国杠杆率的上升;特别是2008年国际金融危机爆发之后,我国杠杆率的上升尤为明显。2008~2015年,中国经济整体(含金融机构)杠杆率由170%上升到249%,8年上升了近80个百分点。剔除金融机构部门,我国实体部门的杠杆率从2008年的157%上升到2015年的228%,8年上升了71个百分点。
正如开篇所述,高杠杆率会带来短期与长期风险,快速攀升的杠杆率蕴含着更大的风险。因此,去杠杆成为恢复经济体健康、真正走出危机的重要举措,也成为当前供给侧结构性改革的主要内容之一。但基于去杠杆问题的复杂性,积极稳妥去杠杆还需要从多重维度进行考量。
(一) 去杠杆并不意味着总体杠杆率下降
走出危机的应急举措是刺激需求,因此,理论上加杠杆是正途,这就造成去杠杆与稳增长两难问题。世界各国都纠结于财政货币扩张与去杠杆之间的微妙平衡。事实上,即便IMF,也大体上赞成局部去杠杆(如金融部门与非金融企业部门),但对于政府的加杠杆则采取默认和赞成的态度。危机以来全球去杠杆的事实再次表明,短期要实现总体去杠杆的目标难以实现。尤其重要的是,如果面临局部去杠杆的任务(比如美国居民与金融部门去杠杆,中国企业部门去杠杆),就需要其他部门的适度加杠杆以保证债务收缩不会太快,总需求保持相对稳定,从而经济能够平稳增长。在总体杠杆率难以降低情况下,实现杠杆率在部门间的转移是降低风险的重要手段。
长期而言,中国总体杠杆率还处于上升的过程。尽管去杠杆是当务之急,但从更长远的角度以及跨国比较我们发现:一个成熟经济体,特别是在金融体系发达、本币国际地位提高情况下,举债能力大大增强,意味着能够更多地借助于债务杠杆来推动经济发展。尽管过度的债务驱动(如美国)会带来巨大风险甚至危机,但从一个发展中国家向成熟市场经济体迈进过程中,全社会杠杆率的进一步上升是可以预见的。目前发达经济体的杠杆率一般来说都远高于发展中经济体就是最好的证明。从中国当前情况来看,一方面,政府的财政收入大幅下滑,混合所有制改革的推进也使广义的政府存量资产有所减少;另一方面,随着人口老龄化以及对民生的关注,政府的各项责任,包括公共服务、社保医疗等负担在不断加大,综合起来,政府的杠杆率必然会上升。从国际经验来看,居民部门杠杆率,也会继续上升。因此,即便企业部门杠杆率最终有所下降,但全社会总体杠杆率仍将处在一个上升的过程。
(二) 去杠杆主要是指企业部门去杠杆
去杠杆要有针对性,不能过于笼统。考虑到各部门的杠杆率情况,真正要“去”的实际上是非金融企业部门的杠杆(相较而言,政府部门与居民部门的杠杆率并不算高)。
2008年之前,中国非金融企业杠杆率一直稳定在100%以内,全球金融危机后,加杠杆趋势非常明显。2008~2015年,非金融企业杠杆率由98%提升到156.1%,猛增了58%以上。不考虑地方政府融资平台债务,杠杆率虽只提高到131.2%,但也上升了33个百分点。通过国际比较发现,我国非金融企业部门杠杆率是最高的,其隐含的风险值得关注国家非金融企业部门杠杆率的风险阈值是90%(OECD)。
中国非金融企业部门的杠杆率畸高主要有三个原因:一是高储蓄结构。2013年国内部门总储蓄率达到了48.3%(其中,政府部门、企业部门、居民部门的储蓄率分别为5%、19.8%、23.6%),远高于多数国家通常20%左右的国民储蓄率,也高于以“高储蓄”著称的日本、韩国等东亚经济体的水平,成为世界上储蓄率最高的国家之一。从资金流量表反映的净金融投资格局看,家庭部门是主要的净储蓄来源方,而企业部门则为净借贷方。家庭部门的高储蓄率意味着大量的储蓄盈余可以转化为企业部门的投资。二是企业的资本结构错配,即企业以银行信贷融资为主而较少进行股权融资,从而债务占比较高。2015年在社会融资总量中,95%为债务融资,股权融资仅占不到5%。高储蓄率和低股权融资的结合,意味着当家庭部门的储蓄盈余转化为企业部门的投资过程不能通过直接融资实现时,就会导致企业部门积累更多的债务。三是企业的“杠杆错配”。这是指一些效率较高的企业杠杆率并不算高,甚至存在加杠杆的障碍,而另外一些效率低下的企业(如大量僵尸企业),由于地方政府希望其存活,银行还被迫“输血”,导致一方面债务在累计攀升,另一方面其对国民产出并没有什么贡献。
企业去杠杆要与清理僵尸企业和国企改革结合起来。
去杠杆如果只是宏观上杠杆率的变化,没有微观机制以及制度环境的转换,其实是难以实现的。或者,企业杠杆率只是暂时的下降,一段时间以后,重又上升,旧病复发。因此,对于僵尸企业的清理就变得非常重要。僵尸企业占用大量资金、土地等宝贵资源,却不能产生经济效益。无论从去产能还是从去杠杆的角度,清理僵尸企业都是必经之途。并且,僵尸企业倒闭也是结构调整和创造性破坏的一个自然结果。政府应采取兜底的方式,出台配套的失业保障措施,让破产重组能顺利推进。清理僵尸企业,一方面使得企业部门的负债水平下降(银行、股市不需要给僵尸企业继续“供血”),另一方面从僵尸企业释放出的闲置资源还能够得到更好的利用,从而使得GDP上升,这样一来,分子减少(债务下降),分母上升(GDP增加),结果就是企业杠杆率的下降,达到去杠杆的目的。降低企业的杠杆还有赖于国企改革。一方面,国企的杠杆率往往高于民企,另一方面,很多僵尸企业本身就是国企。因此,要把企业去杠杆与国企改革结合起来。特别是要改变国企软预算约束的痼疾;以债转股的方式解决企业债务问题,也要注意可能引发的道德风险和相关监管标准,不能把债转股变成国有企业“最后的盛宴”。
(三) 去杠杆须拿出真金白银
发展股权融资是治本之策,但远水解不了近渴,因此,清理僵尸企业以及以优质资产抵债等,仍是去杠杆的必要途径。国际货币基金组织估算,到2015年底,不良贷款损失接近5万亿元(约4.7万亿元);根据麦肯锡估算,2019年,不良贷款损失将达到8.2万亿元。显然,中央层面需要拿出优质资产作为化解不良贷款损失的准备。这包括国有企业资产,以及外汇储备资产。另外,地方政府也需要为中央政府分忧解难。不过,地方政府往往很在意自己的资产,舍不得出售,但却在地方融资平台债务问题上寄希望于中央给予解决,这可能引发道德风险。尽管这是地方政府“理性化”行为,一定程度上反映了当前地方政府在约束与激励、财权与支出责任方面的不匹配,但就实际情况来看,一些地方政府如果通过出售政府优质资产来进行抵债的话,仍有较大空间。从这个角度看,国有企业股权多元化以及PPP的推进,包括出售国有企业资产,将是地方去杠杆和降低政府债务的重要途径。
(四) 去杠杆要与金融服务实体经济结合起来
去杠杆应与金融服务实体经济结合起来。杠杆本身无所谓好坏。而且,就经济学、金融学而言,能够合理利用杠杆来获得发展,本身是一个经济体金融发展程度、信用发展程度的一个标志,实际上是一件好事。杠杆率的好坏,反映了金融资源的合理配置程度,体现了金融服务实体经济的水平。好的杠杆率上升意味着更多的金融资源配置给了效率高的企业,实际上是与整个经济体的竞争力提高、生产率改善直接相关的。相反,坏的杠杆率上升意味着更多的金融资源配置给了效率低或无效率的企业,是与泡沫扩大、金融风险上升相伴随的。
从这个层面来说,金融服务实体经济就意味着要聚焦实体层面竞争力的提升、劳动生产率的提升,意味着我们的杠杆率要服务于劳动生产率高、有竞争力的企业或部门,只有这些部门的杠杆率上升了,整个实体经济与金融之间的这种匹配关系,才得到了较好的体现。
另外,金融部门加杠杆的趋势部分反映了一些空转资金在金融部门内部的自我服务和自我循环,尤其是同业业务的快速扩张。这在某种程度上是金融抑制下创新异化的产物,体现了监管套利的存在,也就是金融机构试图避开行政色彩的金融监管,包括信贷额度配给制和信贷流向控制、资本金的约束、贷存比的流动性约束。如果金融业的自我服务形成的金融业杠杆率的上升,事实上也是一种金融资源的浪费。而要有效应对部分以监管套利为主要目的的同业业务的无序扩张,应进一步放松对正规银行业的管控,特别是放松对银行体系的信贷额度控制和贷款投向管制,改用各种监管指标进行管理。
(五) 按供给侧结构性改革要求,积极稳妥推进去杠杆
保持经济稳定增长是去杠杆的基本前提和根本途径。只有实体经济增速跑赢债务增速,杠杆率才会下降或者不再成为“问题”。去杠杆表面上看是周期性问题,但实际上却直接关涉到整个经济的结构性调整。这表明,大力推进供给侧结构性改革,并以此保持一定水平的经济增速,依然是解决一切问题的关键所在。在利用货币扩张刺激经济增长边际效应持续递减的情况下,要彻底抛弃试图通过宽松货币加码来加快经济增长、做大分母降杠杆的幻想。当前,最重要的是按照供给侧结构性改革要求,积极稳妥推进去杠杆。
[1] Buttiglione, Luigi, Philip R. Lane, Lucrezia Reichlin,and Vincent Reinhart. 2014. “Deleveraging, What Deleveraging?” The 16th Geneva Report on the World Economy.
[2] McKinsey Global Institute. 2010. “Debt and Deleveraging:The Global Credit Bubble and Its Economic Consequences.”www.mckinsey.com.
[3] McKinsey Global Institute. 2012. “Debt and Deleveraging:Uneven Progress on the Path to Growth.” www.mckinsey.com.
[4] McKinsey Global Institute. 2015. “Debt and (Not Much) Deleveraging.” www.mckinsey.com.
[5] 国家外汇管理局.2015年中国国际收支报告[ R ] .国家外汇管理局网站,2016.
[6] 李扬,张晓晶,常欣,汤铎铎,李成.中国主权资产负债表及其风险评估(上、下)[J].经济研究,2012(6-7).
[7] 李扬,张晓晶,常欣.中国国家资产负债表2015——杠杆调整与风险管理[M].北京:中国社会科学出版社,2015.
[8] 李扬,张晓晶,常欣.中国国家资产负债表2013——理论、方法与风险评估[M].北京:中国社会科学出版社,2013.
[9] 余永定.财政稳定问题研究的一个理论框架[ J ] .世界经济,2000(6).
China Economist (中文刊名:《中国经济学人》)是由中国社会科学院主管、中国社会科学院工业经济研究所主办的面向全球发行的中英文学术期刊。China Economist创刊于2006年3月,始终致力于向全球传递中国经济学与管理学最前沿研究进展,搭建中外学者相互交流的学术平台和研究阵地,向全世界宣传能够代表中国人民根本利益诉求的研究成果,促进国外读者更好地了解中国,不断增强我国的国际影响力和国际话语权。《中国经济学人》先后被EconLit、EBSCO、ProQuest、SCOPUS等全球主流、权威数据库及索引系统收录,入选中国社会科学院中国人文社会科学期刊(AMI),是“代表我国人文社会科学英文刊最高水平”的期刊。
在线投稿系统:http://ceji.cbpt.cnki.net
官方网站:http://www.chinaeconomist.com/