货币时间价值通常是按什么计算「货币时间价值按什么计算」
一、货币时间价值基础知识
含义
货币时间价值是指货币经历一定时间的投资和再投资所增加的价值,也称为资金时间价值。
表示方式
在实务中,人们习惯使用相对数字表示,即用增加的价值占投入货币的百分数来表示。
终值与现值的概念
1.终值又称将来值,是现在一定量现金在未来某一时点上的价值,俗称“本利和”,通常记作“F”。
2.现值,是指未来某一时点上的一定量现金折合到现在的价值,俗称“本金”,通常记作“P”。
利息计算方法
单利:只对本金计算利息。
复利:不仅要对本金计算利息,而且对前期的利息也要计算利息。
二、一次性款项的现值和终值
单利终值与现值
单利终值:F=P+P×i×n=P×(1+i×n)
单利现值系数与单利终值系数互为倒数
现值的计算与终值的计算是互逆的,由终值计算现值的过程称为“折现”。单利现值的计算公式为:P=F/(1+n×i)
复利终值与现值
复利终值公式:
F=P×(1+i)n
其中(1+i)n称为复利终值系数,用(F/P,i,n)表示
复利现值系数(P/F,i,n)与复利终值系数(F/P,i,n)互为倒数
复利现值
P=F×(1+i)-n
其中(1+i)-n称为复利现值系数,用(P/F,i,n)表示
三、普通年金的终值与现值
(一)有关年金的相关概念
1.年金的含义
年金,是指等额、定期的系列收支。具有两个特点:一是金额相等;二是时间间隔相等。
2.年金的种类
年金种类
(二)普通年金的计算
1.普通年金终值计算:
普通年金终值计算
2.普通年金现值计算
普通年金现值计算
【例题】为实施某项计划,需要取得外商贷款1 000万美元,经双方协商,贷款利率为8%,按复利计息, 贷款分5年于每年年末等额偿还。外商告知,他们已经算好,每年年末应归还本金200万美元, 支付利息80万美元。要求, 核算外商的计算是否正确。
『正确答案』借款现值=1 000(万美元)
还款现值=280×(P/A,8%,5)=1 118(万美元) >1 000万美元
外商计算错误。
3.年偿债基金和年投资回收额的计算
①偿债基金的计算
简单地说,如果是已知年金终值求年金,则属于计算偿债基金问题,即根据普通年金终值公式求解A(反向计算),这个A就是偿债基金。
根据普通年金终值计算公式:
可得:
上式中:
是普通年金终值系数的倒数,称偿债基金系数,记作(A/F,i,n)。
【提示】这里注意偿债基金系数和年金终值系数是互为倒数的关系。
②投资回收额的计算
如果已知年金现值求年金,则属于计算投资回收额问题。即根据普通年金现值公式求解A,这个A就是投资回收额。计算公式如下:
上式中:
称为投资回收系数,记作(A/P,i,n)。
【提示】投资回收系数与年金现值系数是互为倒数的关系。
【总结】系数间的关系
四、预付年金终值与现值
预付年金,是指每期期初等额收付的年金,又称即付年金或期初年金。有关计算包括两个方面:
1.预付年金终值计算
预付年金的终值,是指把预付年金每个等额A都换算成第n期期末的数值,再来求和。
有两种计算方法:
方法一:F=A[(F/A,i,n+1)-1]
预付年金终值计算(一)
(1)在终值点加上1个A,按照n+1期的普通年金计算终值,
(2)再把终值点上加的A减掉 。
【提示】预付年金终值系数与普通年金终值系数的关系:期数加1,系数减1
方法二:预付年金终值=普通年金终值×(1+i)。
预付年金终值计算(二)
(1)先计算期数为n-1的普通年金终值,
(2)再将n-1时点上的终值×(1+i)算到最终n时点。
2.预付年金现值的计算
具体有两种方法:
方法一:P=A[(P/A,i,n-1)+1]
预付年金现值计算(一)
【提示】预付年金现值系数与普通年金现值系数的关系:期数减1,系数加1
方法二:预付年金现值=普通年金现值×(1+i)
预付年金现值计算(二)
(1)向左侧延长1期,则为普通年金,按n期的普通年金计算
(2)再把折算到 -1时点的年金现值 ×(1+i)折算到0时点(现值点)
【总结】
相关系数
关系
预付年金终值系数与普通年金终值系数
(1)期数加1,系数减1
(2)预付年金终值系数=
普通年金终值系数×(1+i)
预付年金现值系数与普通年金现值系数
(1)期数减1,系数加1
(2)预付年金现值系数=
普通年金现值系数×(1+i)
五、递延年金
递延年金,是指第一次等额收付发生在第二期或第二期以后的年金。图示如下:
递延年金
m:递延期 n:连续支付期
1.递延年金终值计算
计算递延年金终值和计算普通年金终值类似。
F=A×(F/A,i,n)
【注意】递延年金终值只与连续收支期(n)有关,与递延期(m)无关。
2.递延年金现值的计算
【方法1】两次折现
递延年金现值计算(一)
计算公式如下:
P=A(P/A,i,n)×(P/F,i,m)
【方法2】年金现值系数之差
递延年金现值计算(二)
计算公式如下:
P=A(P/A,i,m+n)-A(P/A,i,m)=A[(P/A,i,m+n)-(P/A,i,m)]
【例题】有一项年金,前3年无流入,后5年每年年初流入500万元,假设年利率为10%,其现值为( )万元。
A.1994.59B.1565.68C.1813.48D.1423.21
『正确答案』B
『答案解析』递延期为2,现值=500×(P/A,10%,5)×(P/F,10%,2)=500×3.791×0.826=1565.68
六、永续年金
永续年金,是指无限期等额收付的年金。
永续年金因为没有终止期,所以只有现值没有终值。
永续年金
七、折现率、期间的推算
【例·计算题】现在向银行存入20 000元,问年利率i为多少时,才能保证在以后9年中每年年末可以取出4 000元。
『正确答案』根据普通年金现值公式
20 000=4 000×(P/A,i,9)
(P/A,i,9)=5
查表并用内插法求解。查表找出期数为9,年金现值系数最接近5的一大、一小两个系数:
(P/A,12%,9)=5.3282
(P/A,14%,9)=4.9464
内插法
八、报价利率、计息期利率和有效年利率——年内多次计息情况
1.含义
【例】某种债券面值1000元,半年付息一次,付息金额为100元。
利率计算
报价利率
报价利率是指银行等金融机构提供的利率。
在提供报价利率时,还必须同时提供每年的复利次数(或计息期的天数),否则意义是不完整的。
计息期利率
计息期利率是指借款人每期支付的利息与本金的百分比,它可以是年利率,也可以是每半年、每季度、每月或每日等。
计息期利率=报价利率/每年复利次数
有效年利率
有效年利率,是指在按给定的计息期利率、每年复利次数计算利息时,能够产生相同结果的每年复利一次的年利率,也称等价年利率。
2.报价利率下终值和现值的计算
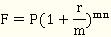
将报价利率(r)调整为计息期利率(r/m),将年数(n)调整为计息期数(m×n)
【例题】某企业于年初存入10万元,在年利率10%、每半年复利计息一次的情况下,到第10年末,该企业能得到的本利和是多少?
『正确答案』F=P×(1+r/m) m×n=10×(1+10%÷2)20=26.53(万元)
3.有效年利率的推算
式中,r:报价利率;m:每年复利次数;i:有效年利率
【公式推导】
(1)报价利率下终值的计算:
(2)如果有效年利率为i,则终值为:
(3)两个式子相等,有:
整理后,有:
【例题】本金10万元,投资8年,年利率6%,每半年复利1次,则8年末本利和是多少?
『正确答案』
计息期利率=3%
期数(复利次数)=8×2=16
或者:
F=10×(1+6.09%)8=160471(元)
【总结】
三个利率的换算
计息期利率=报价利率/年复利次数
有效年利率
有效年利率与报价利率的比较关系
当m=1时,有效年利率=报价利率
当m >1时,有效年利率 >报价利率
当m <1时,有效年利率 <报价利率
九、连续复利问题简介
如果每年复利次数m趋近于无穷,则这种情况下的复利称为“连续复利”。
1.连续复利情况下的有效年利率
2.连续复利情况下的复利终值和现值计算
假设期数为t,则:
【例题】某项贷款本金1000元,利率为10%,若按连续复利计息,则第3年末的终值为多少?
『正确答案』 F=1 000×e10%×3=1 000×1.3499=1 349.9(元)
THE END
@森哥财税