国债期货详解「国债期货百度百科」
1
债券市场简介
债券市场是发行和买卖债券的场所,是金融市场一个重要组成部分,也是一国金融体系中不可或缺的部分。通过债券市场可以实现融资、资金流动导向以及宏观调控功能。按照发行发行主体,债券市场可以分为政府债券(包括国债和地方政府专项债)、中央银行票据(发行主体为中国人民银行,是为调节货币供应量面向商业银行一级交易商发行的债务凭证,期限一般不超过 1 年,但也有长至 3 年的品种)、政府支持机构债券、金融债券(包括政府性金融债券、商业银行债券、非银行金融债券)、企业信用债(包括企业债券、非金融企业债务融资工具、公司债券、可转换债券和中小企业私募债券)、资产支持证券以及熊猫债券和同业存单。
图1:债券分类
资料来源:中债网
随着市场发展,中国债券市场的参与者群体不断扩大,参与者层次也日益丰富,为债市发展注入强大活力。债券市场的参与主体主要包括债券现货市场参与者和债券衍生品市场参与者。其中,债券现货市场参与者主要包括发行人、承销商、做市商、货币经纪公司、结算代理人、境内外投资人,债券衍生品市场参与者包括场内债券衍生品市场和场外债券衍生品市场,场内衍生品债券衍生品市场主要是指中金所的国债期货交易市场。
图2:债券市场参与者
资料来源:中债网
目前,中国债券市场形成了统一分层的市场体系,主要包括银行间市场、交易所、商业银行柜台三个子市场。银行间市场是中国债券市场的主体,债券存量接近全市场的 90%,该市场属于大宗交易市场(批发市场),参与者是各类机构投资者,实行双边谈判成交,主要实行“实时、全额、逐笔”的结算方式。交易所市场由各类社会投资者参与,属于集中撮合交易的零售市场,典型的结算方式是净额结算。商业银行柜台市场是银行间市场的延伸,也属于零售市场。我国债券交易业务类型主要包括现券交易、回购交易和交易所债券回购,截至2020年,中国债券发行量达到37.75亿元、托管量104.32万亿元、交易量1566.48万亿元(其中2020年现券、回购交易及债券借贷1540.11万亿元,国债期货交易26.37万亿元)。
图3:2005年-2020年债券市场发行量趋势(单位:亿元)
资料来源:中国债券网
2
国债及国债期货简介
观察我国的债券市场情况不难发现,国债发行占债券市场整体的比重较大,国债期货也是场内主要的债券衍生品交易品种。国债又称公债,是中央政府为筹集财政资金而发行的一种政府债券。它以国家信用为基础,由中央政府通过法定程序和途径向投资者出具,承诺在一定时间支付利息和到期偿还本金的债权债务凭证。由于国债的发行主体是国家,所以在一国债券市场中它具有最高的信用度,往往被公认为是安全的投资工具。
国债具有弥补财政赤字、筹集建设资金、弥补国际收支的不足;形成市场基准利率,成为其他金融工具定价的基础;作为机构投资者融资的工具之一,可调节短期资金的余缺;作为公开市场操作工具,调节资金供求和货币流通量的功能。并且具有安全性高、以国家的信用作为国债还本付息的保证,几乎不存在违约风险,流动性强、信用等级高、在市场上容易变现,以及收益稳定、价格波动幅度较小的基本特征。
国债期货作为利率期货的一个主要品种,是指买卖双方通过有组织的交易场所,约定在未来特定时间,按预先确定的价格和数量进行券款交收的国债交易方式。目前国内主要有2年期国债期货(TS)、5年期国债期货(TF)、10年期国债期货(T)三大类。国债期货具有规避利率风险功能、价格发现功能、促进国债发行功能以及优化资产配置功能,可以主动规避利率风险、交易成本低、流动性高、信用风险低。
图4:2020年银行间债券市场各券种发行量占比
资料来源:中国债券网
图5:中金所品种成交量累计同比
资料来源:中国债券网
国债期货与其他期货合约不同,国债期货合约设计中采用了国际上通用的名义标准券概念。所谓“名义标准券”,是指票面利率标准化、具有固定期限的假想券。名义标准券设计的最大功能在于,可以扩大可交割国债的范围,增强价格的抗操纵性,减小交割时的逼仓风险。实物交割模式下,如果期货合约的卖方(卖方具有选择交割债券和择时的权利)没有在合约到期前平仓,理论上需要用“名义标准券”去履约。但现实中“名义标准券”并不存在,因而交易所会规定,现实中存在的、满足一定期限要求的一篮子国债均可进行交割。中金所选择中期国债作为国债期货合约的标的,剩余期限在 4-7 年的国债都可以用于交割。
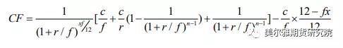
可交割债券和名义标准券之间的价格通过一个转换比例进行换算,这个比例就是通常所说的转换因子。转换因子的计算是面值1元的可交割国债在其剩余期限内的所有现金流量按国债期货合约票面利率折现的现值,这是国债期货合约中最重要的参数之一。
其中,r是票面利率、x 表示交割月距离下一个付息月的月份数(当交割月是付息月时,x=6 或 12)、n 表示剩余付息次数、c 表示可交割券的票面利率、f 表示可交割券每年的付息次数。交割货款=交割数量×(交割结算价×转换因子 应计利息)×(合约面值/100 元)。
一般情况下,由于卖方拥有交割券选择权,合约的卖方都会选择对他最有利,通常也是交割成本最低的债券进行交割,对应的债券就是最便宜可交割国债。理论上,一般可以通过比较不同券种的隐含回购利率寻找最便宜可交割债券。隐含回购利率是指购买国债现货,卖空对应的期货,然后把国债现货用于期货交割,这样获得的理论收益就是隐含回购利率。一般来说,隐含回购利率最高的券就是最便宜可交割债券。另外也可以利用久期寻找最便宜可交割债券,对收益率在国债期货合约票面利率平方以下的国债而言,久期最小的国债最可能是最便宜可交割债券;对于收益率在国债期货合约票面利率以上的国债而言,久期最大的国债最可能是最便宜可交割债券;对具有同样久期的国债而言,收益率最高的国债最可能是最便宜可交割债券。
国债期货主要有一般模式交割和券款对付DVP交割2种交割方式,一般模式交割是同一托管机构,卖方将券转入中金所账户,在交割款交付之后,再从中金所账户将券划入买方账户,不同市场,可通过中金所账户在不同托管机构之间的“跨市场转托管”实现。券款对付DVP交割是中金所通过中央结算公司向买卖双方发送DVP交割指令完成交割。
3
影响国债期货的重要因素
影响国债期货的重要因素来自两大方面,一个是宏观经济,宏观经济是国债期货的基本面,经济状况、通货膨胀、宏观政策(货币、财政、汇率)、宏观流动性均会对国债期货市场的运行产生影响,是影响国债期货运行的重要因素,其次是国债的供给和需求,也即现券市场的情况(主要是供给—国债、地方债发行规模,需求—竞标倍数)会影响国债期货的走势。理论上,当国家经济萧条、市场具有货币政策宽松预期、利率走低,总需求上升,国债期货走高;当国家经济过热、通胀过高,市场具有货币紧缩预期、货币供应下降,抑制市场需求,利率走高、国债期货下行;当市场资金面宽裕时,债市买盘力量增强、债券价格上行,资金面紧张时,债市卖盘力量增强、债券价格下行,当通胀预期升温时、债券收益率上行,债券价格下行。
国债期货市场可以提前反应市场对利率走势的预期,不同时期影响国债市场的主线和逻辑不同,导致市场呈现不同的走势。2020年疫情爆发后,市场预期经济下行、货币政策宽松,市场具有利率走低预期、国债期货市场走高,4月以后疫情解封、国内经济开启复苏、市场预期货币政策边际缩紧,2021年初以来随着抗疫国债发行减少、国内经济复苏逐渐过渡至滞胀、经济下行,市场具有边际宽松预期,国债期货市场触底回升,而随着通胀逐渐传导,中长期来看国债期货价格面临一定的下行压力。
图6:国债期货影响因素
资料来源:美尔雅期货
免责声明:期货有风险,投资需谨慎。以上内容不作为投资依据,仅供参考。本文章内容均基于已公开信息撰写,但不保证该等信息的准确性和完整性。作者或将不时补充、修订或更新有关信息,但不保证及时发布该等更新。文章中的内容和意见基于对历史数据的分析结果,不保证所包含的内容和意见在未来不发生变化。本文章仅供参考,在任何情况下不作为对任何人的投资建议。