2021中级经济师工商管理题库「2021年中级财务管理真题第三批」
第九章 企业投融资决策及重组
货币的时间价值观念概念
货币的时间价值,也称资金的时间价值,是指货币随着时间的推移而发生的增值。货币的时间价值原理正确地揭示了不同时间点上的资金之间的换算关系,是财务决策的基础。资金的时间价值有两种表现形式:
(1)相对数,即资金时间价值率,是扣除风险报酬和通货膨胀缩水后的平均资金利润率或平均报酬率。
(2)绝对数,即资金时间价值额,是一定数额的资金与时间价值率的乘积。
在不考虑风险和通货膨胀的情况下,即可以利率和利息代表时间价值。
01
M公司从N公司租入数控机床一台。合同约定租期是5年,M公司租期内每年年末支付给N公司租金10万元,假定年利率为10%,则M公司支付的租金总额现值合计是( )万元。
A.24.87
B.35.38
C.37.91
D.40.68
C
【解析】本题的知识点为:后付现金现值的计算。根据公式,P=A×{[1-(1 i)-n]/i},将题目信息代入公式:P=10×{[1-(1 10%)-5]/10%}≈10×3.7908=37.908≈37.91(万元),故选C。
02
假设i为折现率,n期先付年金的终值可以用n期后付年金的终值乘以( )求得。
A. (1 i)
B. (1 i)-1
C. (1 i)-n
D. (1 i)n
A
【解析】本题的知识点为:货币的时间价值计算中先付年金的终值。根据公式,根据公式,先付年金终值=后付年金终值×(1 利率),其中利率即为折现率,故选A。
03
货币的时间价值率是扣除()因素后的平均资产利润率。
A.资本市场平均报酬
B.投资必要报酬
C.无风险报酬
D.通货膨胀
E.风险报酬
DE
【解析】本题的知识点为:货币的时间价值概念相关内容。资金时间价值有两种表现形式,其一是相对数,即时间价值率,是扣除“风险报酬和通货膨胀因素”的平均资金利润率或平均报酬率,故选DE。
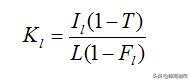
第九章 企业投融资决策及重组
长期借款资本成本率的测算
Kl 为长期借款资本成本率;
Il 为长期借款年利息额;
L为长期借款筹资额,即借款本金;
Fl 为长期借款筹资费用率,即借款手续率;
T为企业所得税率
当企业借款的筹资费用很少可以忽略不计,公式可写为
Rl 表示借款利息率
01
借款合同如果附加补偿性余额条款,会降低企业借款的资本成本率( )。
A. 上升
B. 下降
C. 不变
D. 先上升后下降
A
【解析】 本题的考点为长期借款资本成本率的测算相关内容。当借款合同附加补偿性余额条款的情况下,企业可动用的借款筹资总额应扣除补偿性余额,此时借款的实际利率和资本成本率将会“上升”,故选A。
02
某公司从银行获得贷款2亿元,期限3年,贷款年利率为6.5%,约定每年付息一次,到期一次性还本。假设筹资费用率为0.5%,公司所得税率为25%,则该公司该笔贷款的资本成本率是( )。
A. 4.90%
B. 5.65%
C. 6.50%
D. 9.00%
A
【解析】 本题的考点为长期借款资本成本率的测算。根据公式,长期借款资本成本率=[长期借款年利息额×(1-所得税率)]/[长期借款筹资额×(1-筹资费用率)],计算如下:
(1)长期借款年利息额:题目给出“年利率为6.5%”,贷款2亿元,因此长期借款年利息额为“2×6.5%”;
(2)企业所得税率:题目已知“25%”;
(3)长期借款筹资额:题目已知为“2亿元”;
(4)长期借款筹资费用率:题目已知“0.5%”。
(5)长期借款的资本成本率 =2×6.5%×(1-25%)/[2×(1-0.5%)]≈4.90%,故选A。
03
某企业2011年度发行债券融资,每张债券面值100元,票面利率8%,期限5年,发行200万张,筹资总额2亿元,约定每年付息一次,到期一次性还本,假设筹资费用率为1.5%,企业所得税率为25%,则该债券的资本成本率是( )。
A. 5.78%
B. 5.85%
C. 5.94%
D. 6.09%
D
【解析】 长期债券资本成本率=[债券每年支付利息×(1−所得税率) ]/[ 债券筹资额×(1−筹资费用率) ],计算如下:
(1)债券每年支付的利息:因题目已知“每张债券面值100元,发行200万张,票面利率为8%”,故债券每年支付的利息为100×2000000×8%=16000000元
(2)企业所得税率:题目已知为25%
(3)债券筹资额:题目已知筹资总额2亿元,即200000000元
(4)债券筹资费用率:题目已知1.5%
(5)债券的资本成本率=16000000×(1-25%)/[200000000×(1-1.5%)]=12000000/197000000
≈6.09%,故选D。
第九章 企业投融资决策及重组
总杠杆
指营业杠杆和财务杠杆的联合作用,也称联合杠杆。
总杠杆的意义是普通股每股税后利润变动率相当于销售额(营业额)变动率的倍数。总杠杆系数DTL是营业杠杆系数与财务杠杆系数的乘积。
计算公式为:
总杠杆系数=营业杠杆系数×财务杠杆系数
01
营业杠杆是由于企业成本费用中存在的( )而产生的风险收益放大效应。
A.直接人工成本
B.固定成本
C.付现成本
D.固定财务费用
B
【解析】营业杠杆是由于固定成本的存在而产生的效应。
02
财务杠杆是由于( )的存在而产生的效应。
A.折旧
B.固定经营费用
C.付现成本
D.固定财务费用
D
【解析】财务杠杆也称融资杠杆,是指由于固定财务费用的存在,使用权益资本净利率(或每股利润)的变动率大于息税前利润变动率的现象。
03
如果某企业的营业杠杆系数为2,则说明( )。
A. 当公司息税前盈余增长1倍时,普通股每股收益将增长2倍
B. 当公司普通股每股收益增长1倍时,息税前盈余应增长2倍
C. 当公司营业额增长1倍时,息税前盈余将增长2倍
D. 当公司息税前盈余增长1倍时,营业额应增长2倍
C
【解析】 本题的考点为营业杠杆系数的概念。营业杠杆系数是息税前盈余的变动率相当于销售额(营业额)变动率的倍数,当营业杠杆系数为2时,表示息税前盈余为销售额的2倍,即营业额增长1倍时,息税前盈余将增长2倍,故选C。
第九章 企业投融资决策及重组
现金流量估算
投资中的现金流量是指一定时间内由投资引起的各项现金流入量,现金流出量及现金净流量的统称。
1、初始现金流量:指开始投资时发生的现金流量,总体是现金流出量,用负数或带括号的数字表示,包括:(总结为三出一入)
①固定资产投资。包括固定资产的投入或建造成本、运输成本和安装成本等。
②流动资产投资。包括对材料、在产品、产成品和现金流动资产的投资。
③其他投资费用。指与长期投资有关的职工培训费,谈判费,注册费。
④原有固定资产的变价收入。指固定资产更新时原有固定资产的变卖所得的现金收入。
2、营业现金流量:
指项目投入使用后,在其寿命周期内由于生产经营带来的现金流入和流出的数量。一般按年度进行计算。一般按设定投资项目的每年销售收入等于营业现金收入,付现成本(需要当期支付现金的成本,不包括折旧)等于营业现金支出。则:
(公式一)每年净现金流量(NCF)=每年营业收入-付现成本-所得税
(公式二)每年净现金流量(NCF)=净利+折旧
3、终结现金流量:指投资项目完结时所发生的现金流量。(总结为:三入)
①固定资产的残值收入或变价收入
②垫支在各种流动资产的资金的回收
③停止使用的土地的变价收入
01
在估算项目营业现金流量时,营业现金流出量不包括( )。
A. 广告费
B. 折旧费
C. 直接材料费
D. 直接人工费
B
【解析】 本题的考点为现金流量估算中营业现金流量。营业现金流出量即以现金形式支出的成本和费用,而折旧是属于非付现成本,即不是以现金形式支出的成本,因此每年的营业现金支出不包括折旧,故选B。
02
在进行项目的现金流量估算时,影响每年净营业现金流量的因素有()。
A.资本成本
B.企业所得税
C.营业收入
D.付现成本
E.资本结构
BCD
【解析】本题的知识点为:现金流量估算中营业现金流量。每年现金净流量的两个公式均可以解释本题内容:(1)每年净营业现金流量=每年营业收入-付现成本-所得税;(2)每年净营业现金流量=净利润 折旧,其中,净利润=利润总额-企业所得税费,利润总额=营业收入-付现成本-折旧,由此可知BCD选项正确。
03
某公司计划投资一条新的生产线。生产线建成投产后,预计公司年销售额增加1000万元,年付现成本增加750万元,年折旧额增加50万元,企业所得税税率为25%,则该项目每年营业净现金流量是( )万元。
A. 50
B. 150
C. 200
D. 700
C
【解析】 本题的考点为现金流量的估算。根据公式,每年营业现金流量=净利 折旧,计算如下:
(1)净利=利润总额-所得税税费=200-50=150万元
①利润总额=每年销售(营业)收入-付现成本-折旧,题目已知销售额增加1000万元,付现成本增加750万元,年折旧额增加50万元,所得税率25%,利润总额=1000-750-50=200万元
②所得税税费=利润总额×所得税率=200×25%=50万元
(2)折旧:题目已知为50万元;
(3)每年净营业现金流量=150 50=200万元,故选C。
第九章 企业投融资决策及重组
投资回收期(静态)
指回收初始投资所需要的时间,一般以年为单位。计算方法:
①如果每年的营业净现金流量(NCF)相等,则公式为
②如果每年NCF不相等,则计算投资回收期要根据每年年末尚未回收的投资额加以确定。见下表
投资回收期法优点:简单,易懂
主要缺点:没有考虑资金的时间价值;没有考虑回收期满后的现金流量状况。
01
如果一个项目的内部报酬率(IRR)为10%,这说明( )。
A.如果以10%为折现率,该项目的获利指数大于1
B.如果以10%为折现率,该项目的净现值小于零
C.如果以10%为折现率,该项目的净现值大于零
D.如果以10%为折现率,该项目的净现值等于零
D
【解析】内部报酬率是指使投资项目的净现值等于零的贴现率。
02
下列投资决策评价指标中,无法反映项目收益情况的是( )。
A. 净现值
B. 获利指数
C. 内部报酬率
D. 投资回收期
D
【解析】 本题的考点为财务可行性评价指标。其中,投资回收期因不考虑回收期满后的现金流量,因此无法反映整个项目的收益情况,故选D。
03
在使用内部报酬率法进行固定资产投资决策时,方案可行的标准是内部报酬率要( )
A. 小于或等于资本成本率
B. 大于或等于资本成本率
C. 大于或等于标准离差率
D. 小于或等于标准离差率
B
【解析】 本题的考点为财务可行性评价指标。其中,内部报酬率的决策原则:在只有一个备选方案的采纳与否决策中,如果计算出的内部报酬率“大于或等于企业的资本成本率或必要报酬率”,则采纳方案,故选B。