全额与净额结算实例解析题「总额法与净额法」
编辑导语:各种各样的结算方式是不是让你眼花缭乱?在这篇文章里,作者就简单介绍了全额结算与净额结算,感兴趣的话就点进来看一看吧,相信它可以帮你理清一下思路。
我们经常听到谁谁谁是全额实时结算,谁谁谁是净额分批结算等概念,今天我们就简单介绍一下什么是全额结算,什么是净额结算。
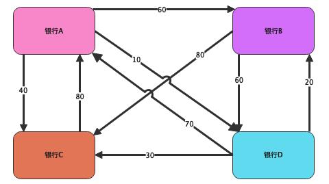
看下面这个例子,四家银行在一个结算周期内,有如下的结算关系,箭头是资金流方向,线条上的是结算金额:
我们来看在不同的结算模型下的结算情况。
一、全额结算是指在资金转账前并不进行帐户金额的对冲,以实际的支付金额进行转账的结算方式。比如我要给你100,你要给我50,全额结算下我先给你100,你再给我50,发生了2笔转账,总金额150元。我们来看开头的例子:
我们从以下几个维度分析:
1)银行间的交易渠道维度:6条渠道;
2)银行间资金转账的实际笔数:9笔;
3)银行间资金转账的实际总额:450;
9笔转账总额=60 40 10 60 80 80 70 20 30。
二、净额结算是指在进行双方或多方的资金转账前,先对各方帐户上的余额进行相互冲减,之后才转移剩余资金金额的结算方式。
在净额结算的情况下,银行把与每笔支付有关的信息传送到清算所。
参加清算所的所有银行,在发生支付义务的时候,并不立即通过银行间资金转账结算每一笔支付,而是在约定的时期(称作清算周期)内让债权和债务累积起来,然后使某些往来支付相互抵销。
在清算周期期末的指定结算时间,银行只须把支付净额转给清算所。
结算通常于每日终了在清算银行(一般是中央银行)的账簿上进行,但也可以在算出净头寸后的一个或几个营业日后进行,净额的结算也可以通过在商业银行开设的往来帐进行。
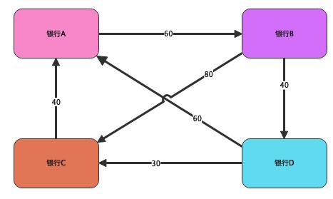
1. 双边净额结算也就是有直接支付关系的银行之间的往来进行净额结算,从明细看A向C转了40,C向A转了80,净额轧差后C向A转40,以此类推:
我们从以下几个维度分析,具体看上面的各维度分析方法,这里不再一一画图。
银行间的交易渠道维度:6条渠道;银行间资金转账的实际笔数:6笔;银行间资金转账的实际总额:310。2. 多边净额结算也就是所有银行与清算机构中间户净额结算,银行之间不直接结算;银行A收了C80,收了D70,向B转出60,向C转出40,向D转出10;所以净额轧差后净收入40(算法:80 70-60-40-10),以次类推其他银行:
我们从以下几个维度分析:
银行间的交易渠道维度:4条渠道;银行间资金转账的实际笔数:4笔;银行间资金转账的实际总额:220。小思考:你觉得以上的结算方式都有什么优缺点呢,如何做选择呢?
小作业:列举出哪些支付系统分别采用什么结算方式,比如大小额超级网银等。
作者:陈晓光;微信公众号:陈晓光;10年产品设计经验,4年社交,2年电商,5年支付;曾任职于某头部金融,某头部支付机构;云对账创始人获千万融资。
本文由 @陈天宇宙 原创发布于人人都是产品经理。未经许可,禁止转载
题图来自Unsplash,基于CC0协议