收益率曲线与货币政策的关系「三种理论对收益率曲线的解释」
五矿期货重庆营业部
作者:夏佳栋 彭玉梅
报告要点:
认识收益率曲线:基础利率包括到期收益率、即期利率与远期利率。到期收益率是将一组现金流贴现到现在,即期利率是将单个现金流贴现到现在,远期利率是将单个现金流贴现到更近的某个未来,对应到期收益率曲线、即期收益率曲线与远期收益率曲线,研究分析中使用最多的是到期收益率曲线。曲线形态变化分为牛陡、熊陡、熊平、牛平,对应经济周期中的衰退、复苏、过热、滞胀。影响收益率曲线的三个主要因素为市场对利率预期、债券风险溢价和凸度。
收益率曲线与货币政策:①2000年以来,2年期与10年期美债利差波动范围在[-52BP,291BP],波动距离为343BP;②期限结构的大幅波动主要发生在加/降息周期,但随着近年来降息空间的收缩,当降息至零利率水平后美联储利用量化宽松等政策进一步提供流动性,因此在更近的降息周期中,降息结束以后利差还有较长时间与较大幅度的走阔,比如2019年这一轮的降息周期。此外量化宽松政策的退出提前于加息,也使得利差的缩窄越来越提前于加息周期的开始,比如2004年加息周期开始时利差还在高位,利差缩窄主要发生在加息周期内,而2015年以及此轮加息周期开始前,利差就已经提前缩窄;③加/降息周期与利差变化方向存在稳定的关系,加息周期中利差必定缩窄,降息周期中利差必定扩大,但幅度都不及基准利率的变化幅度。
实际利差低位往往跟随着黄金价格的大幅上涨。收益率曲线是资产定价的基石,而10年期利率是收益率曲线较综合的代表指标,因此在资产定价中多使用单一的10年期利率为资产定价。当收益率曲线变动不大时,10年期利率这一单一指标可以作为资产定价的基准,当收益率曲线出现较大变化时,资产价格的表现往往跟10年期利率走势的相关性出现背离。因此有必要将收益率曲线加入资产定价研究中,而观察收益率曲线与黄金价格的关系,可以注意到实际利差的低位之后往往跟随着黄金价格的大幅上涨。
经济与通胀的二元组合构建了经济周期的四个阶段,衰退、复苏、过热和滞胀,宏观策略研究经常借助于GDP数据、PMI数据、CPI数据等用以判断当下所处的经济周期位置以及未来的变化,以提出相适应的资产配置策略。而国债作为各类资产定价的锚,其价格变化本身就是对经济基本面变化最直观的反映,此外价格还能反应投资者的预期,因此研究收益率曲线在资产配置中是不可忽视的一环。
认识收益率曲线
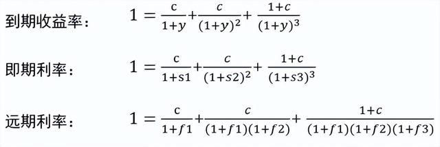
基本概念:固定收益证券分析中,最基础的利率包括到期收益率、即期利率与远期利率。到期收益率是将一组现金流贴现到现在,即期利率是将单个现金流贴现到现在,远期利率是将单个现金流贴现到更近的某个未来。与之对应,一般存在到期收益率曲线、即期收益率曲线与远期收益率曲线,收益率曲线反映的是利率期限结构,即相同特征不同期限债券的利率分布,一般用期限结构线(如图1)或时间线表示。到期收益率曲线在市场分析、同类比较中应用较多,即期收益率曲线一般用于定价估值及模型设计,而远期收益率曲线则多用于利率模型的构建。由于其使用的广泛性,因此后文所称收益率曲线一般也指到期收益率曲线。
收益率曲线形态及其变化:根据收益率曲线的理论研究,如预期理论、流动性偏好理论、市场分割理论等,收益率曲线呈水平、向上、向下、拱形四种基本形态。在对收益率曲线形态的描述中,最受市场关注的是收益率曲线形态的变化,分为牛陡、牛平、熊陡、熊平,体现在不同影响因素作用下债券长短端收益率的关系变化。而经济基本面、货币政策是债券收益率变化的主导因素,因此收益率曲线形态的变化与美林投资时钟也有较好的一一对应关系,因为这两者本质上是表述的同一个东西,只是使用了不同的参考系。
收益率曲线形态变化中的牛和熊指债券价格的上涨和下跌,而收益率与价格存在负相关关系,因此收益率下行称为牛,收益率上行称为熊。而陡和平则指收益率曲线的斜率,长短利差收窄称为平,长短利差走阔称为陡。具体来看:①牛陡:指收益率下行,长短利差走阔,即短端收益率下行幅度超过长端收益率。一般发生在央行放松货币政策时期,短端收益率受到货币政策刺激更显著,大幅下行,而此时经济尚未明显好转,长端收益率变动幅度较小;②熊陡:指收益率上行,长短利差走阔,即长端收益率上行幅度超过短端收益率。一般指复苏期,此时经济好转,市场对未来经济增长的预期增强,长端收益率显著上行;③牛平:指收益率下行,长短利差收窄,即长端收益率下行幅度超过短端收益率。一般发生在市场预期未来经济下行,调低增长预期的时候;④熊平:指收益率上行,长短利差收窄,即短端收益率上行幅度超过长端收益率。一般发生在中央银行收紧货币流动性时,短端收益率快速上行,而货币政策的作用尚未明显作用于经济基本面,长端收益率变动较小,对应过热期。
收益率曲线影响因素:根据债券收益率曲线的理论研究,影响收益率曲线的三个主要因素为市场对利率预期、债券风险溢价和凸度。当市场预期中央银行将收紧流动性或通胀预期上升时,短端的收益率将会迅速抬升,收益率曲线平坦化,市场预期往往是收益率曲线变化的最主要影响因素;债券风险溢价,指不同期限的债券,在其他条件均相同的条件下收益率之差。比如在流动性溢价理论下,投资者对于流动性有较高偏好,不愿意持有长期债券,因此长期债券需要提供更高的收益率以吸引投资者。债券风险溢价一般在市场风险偏好高时较低,而在市场风险偏好低时较高;凸度指债券价格和收益率之间的非线性关系,正凸度的债券意味着当利率上涨和下跌相同基点时,债券价格下降的幅度低于价格上升的幅度,因此凸度越高的债券在给定收益率的情况下,能提供的持有回报越高。
收益率曲线与货币政策关系的历史回顾
收益率曲线变化的影响因素在理论上可以归结为上文所提到的市场对利率预期、债券风险溢价和凸度。但实际中当我们观察到收益率曲线出现变化的时候,很难将变化精确分解为三种因素,划分每一种因素的贡献,因为这三种成分都是难以直接观测且随着时间变化的,在研究中难以通过对这三者的观测和跟踪,去判断收益率曲线可能发生的形态变化。因此结合理论分析和历史经验规律总结,本文拟回顾主要影响因素——货币政策与收益率曲线形态之间的关系。本文使用的收益率曲线数据基于美债利率,并且为简便直观,我们简单地以2年期、10年期美债利率期限结构随时间变化的走势表示收益率曲线与货币政策之间的关系。
为统计简便,我们这里所取起止时间分别为各自周期中的第一次加/降息与最后一次加/降息,主要为表示实际货币政策变化而非市场对货币政策的预期变化对利率期限结构的影响。2000年以来,2年期与10年期美债利差波动范围在[-52BP,291BP],波动距离为343BP;期限结构的大幅波动主要发生在加/降息周期,但随着近年来降息空间的收缩以及量化宽松货币工具的使用,利差的走阔缩窄都提前于货币政策周期的开始;加降息周期与利差变化方向存在稳定的关系,加息周期中利差必定缩窄,降息周期中利差必定扩大,但幅度都不及基准利率的变化幅度。
收益率曲线与黄金价格
实际利差低位往往跟随着黄金价格的大幅上涨。收益率曲线是资产定价的基石,而10年期利率是收益率曲线较综合的代表指标,因此在资产定价中多使用单一的10年期利率为资产定价。收益率曲线与资产价格的关系错综复杂,本文仅通过观察实际利率长短利差与黄金价格历史走势以提供可能的参考。回顾2000年以后10年期与2年期实际利率利差与黄金价格走势的关系,可以注意到实际利差的低位之后往往跟随着黄金价格的大幅上涨,比如2000年、2005年与2019年
免责申明:本报告信息均来源于公开资料或实地调研,我公司及研究人员对信息的准确性和完整性不作任何保证,本报告中的信息、观点均反映报告初次公开发布时的判断,可能会随时调整;报告中的信息及观点不构成投资要约或买卖建议,投资者据此作出的投资决策及结果与本公司和作者无关。投资有风险,入市需谨慎。