筹资管理的分析方法「内部筹资额怎么计算」
计算公式
资金需要量=(基期资金平均占用额—不合理资金占用额)×(1 预测期销售增长率)×(1-预测期资金周转速度增长率)
特点
计算简便,容易掌握,但预测结果不太精确
适用范围
适用于品种繁多、规格复杂、资金用量较小的项目
例子:某公司 2016 年度资金平均占用额为 4500 万元,其中不合理部分占 15%,预计 2017 年销售增长率为 20%,资金周转速度不变,采用因素分析法预测的 2017 年度资金需求量为( )万元。
A.4590 B.4500 C.5400 D.3825
【答案】A
【解析】资金需要量=(基期资金平均占用额-不合理资金占用额)×(1 预测期
销售增长率)×(1-预测期资金周转速度增长率)=(4500-4500×15%)×
(1 20%)×(1-0)=4590(万元),因此选项 A 正确。
二、销售百分比法原理
假设某些资产与销售额存在稳定的百分比关系,根据销售与资产的比例预计资产额,根据资产额预计相应的负债和所有者权益,进而确定筹资需求量
需要增加的资金量
需要增加的资金量=增加的资产—增加的敏感负债
增加的资产=增量收入×基期敏感资产占基期销售额的百分比 非敏感资产的调整数
增加的敏感负债=增量收入×基期敏感负债占基期销售额的百分比=基期敏感负债×预计营业收入增长率
外部筹资额
外部筹资需要量=需要增加的资金量—增加的留存收益
增加的留存收益=预计营业收入×预计营业净利率×预计利润留存率
外部筹资需要量=增加的资产—增加的敏感负债—增加的留存收益
优缺点
能为筹资管理提供短期预计的财务报表,以适应外部筹资的需要,且易于使用。但在有关因素变动的情况下,必须相应地调整原有的销售百分比
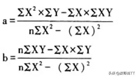
三、资金习性预测法求a、b的方法
回归直线法
注意:
1)资金需要量与营业业务量之间线性关系的假定应符合实际情况
2)确定a、b数值,应利用连续若干年的历史资料,一般要有三年以上的资料
3)应考虑价格等因素的变动情况
高低点法
选择业务量最高最低的两点资料:
强调业务量
a=最高业务量的资金占用—b×最高业务量
=最低业务量期的资金占用-b×最低业务量
四、资本成本的概念资本成本:指企业为筹集和使用资本而付出的代价,包括筹资费用(发行费、手续费)和占用费用(股利和利息等)
资本成本的作用:
1.资本成本是比较筹资方式、选择筹资方案的依据
2.平均资本成本是衡量资本结构是否合理的重要依据
3.资本成本是评价投资项目可行性的主要标准
4.资本成本是评价企业整体业绩的重要依据
资本成本的影响因素:
1.总体经济环境:如果国民经济保持健康、稳定、持续增长,整个社会经济的资金供需均衡且通货膨胀水平低,资本成本相应的就比较低;反之,则高。
2.资本市场条件:如果资本市场缺乏效率,证券的市场流动性低,投资者投资风险大,资本成本就比较高。
3.企业经营状况和融资状况:如果企业经营风险高,财务风险大,则企业总体风险水平高,投资者要求的预期报酬率高,企业筹资的资本成本相应就大。
4.企业对筹资规模和时限的需求:企业一次性需要筹集的资金规模越大、占用资金时限越长,资本成本就越高。
五、个别资本成本计算某企业发行了期限5 年的长期债券10000 万元,年利率为8%,每年年末付息一次,到期一次还本,债券发行费率为1.5%,企业所得税税率为25%,该债券的资本成本率为( )。
A.6%
B.6.09%
C.8%
D.8.12%
【答案】B
【解析】该债券的资本成本率=8%×(1-25%)/(1-1.5%)=6.09%,选项B 正确。
六、平均资本成本计算以各项个别资本成本占企业总资本的比重为权数,对各项个别资本成本率进行加权平均。
账面价值权数
优点:资料容易取得,且计算结果比较稳定
缺点:当债劵和股票的市价与账面价值差距较大时,导致按账面价值计算出的资本成本不能反映目前从资本市场上筹集资本的现时机会成本,不适合评价现时的资本结构
市场价值权数
优点:能够反映现时的资本成本水平,有利于进行资本结构决策
缺点:现行市价处于经常变动之中,不容易取得;现行市价反映的只是现时的资本结构,不适用未来的决策
目标价值权数
优点:能体现期望的资本结构,据此计算的加权平均资本成本更适用于未来的筹资决策
缺点:很难客观合理地确定目标价值
七、经营杠杆效应经营杠杆系数=基期边际贡献/基期息税前利润,
边际贡献=销售量×(销售单价-单位变动成本),息税前利润=边际贡献-固定性经营成本。
八、财务杠杆效应财务杠杆系数=息税前利润/[息税前利润-利息费用-优先股股息/(1-所得税税率)]
九、总杠杆效益当企业的全部资产来源于普通股权益,企业不存在固定性资本成本,因此财务杠杆系数是1,经营杠杆系数等于总杠杆系数。
影响企业资本结构的因素有:(1)企业经营状况的稳定性和成长性;(2)企业的财务状况和信用等级;(3)企业的资产结构;(4)企业投资人和管理当局的态度;(5)行业特征和企业发展周期;(6)经济环境的税收政策和货币政策。
优化资本结构的方法,主要有三种,分别是每股收益分析法、平均资本成本比较法和公司价值分析法。
所谓最佳资本结构,是指在一定条件下使企业平均资本成本率最低,企业价值最大的资本结构。
公司价值分析法,是在考虑市场风险基础上,以公司市场价值为标准,进行资本结构优化。