鹏华债转券000297「华商债券基金」
中国经济网北京6月6日讯 (记者 康博) 5月份债券型基金实现整体业绩上涨,据同花顺数据显示,在4441只有可比业绩的债基中,共有4345只上涨,占比98%,25只业绩持平,71只下跌。
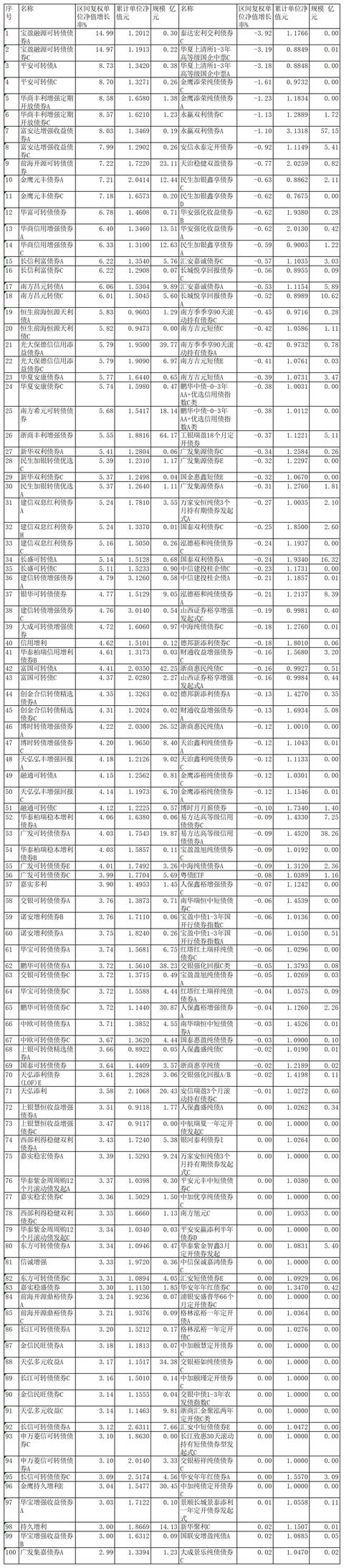
宝盈融源可转债债券A、宝盈融源可转债债券C以14.99%、14.97%领涨,该基金的一季报显示,基金总资产的16.04%为股票资产,77.78%为债券,可转债占到基金资产净值的91.27%,前五大持仓债券分别为中矿转债、鹏辉转债、G三峡EB1、隆22转债、石英转债,主要持股有天齐锂业、中科电气、永兴材料、中伟股份。可见其主要投资集中在新能源领域,而5月份正是该板块引领市场的反弹。
此外,平安可转债A、平安可转债C、华商丰利增强定期开放债券A、华商丰利增强定期开放债券C、富安达增强收益债券A也在5月分别上涨8.73%、8.70%、8.58%、8.57%、8.03%。从一季报披露的资产结构看,平安可转债有12.65%为股票,债券资产则全部为可转债,华商丰利增强定开的股票资产也达16.17%,债券资产中超七成都是可转债。
华商丰利增强定开基金经理厉骞在一季报里表示:“本基金债券资产配置主要以中短久期的债券为主,投资信用评级以AAA为主,严格控制信用风险,并适时参与利率债、可转债及权益资产来增厚基金收益。”
富安达增强收益债券C、前海开源可转债债券、金鹰元丰债券A、华商信用增强债券A等多只基金涨幅也都在6%以上。有债券基金经理表示,在“资产荒”与流动性宽松这两大前提条件未打破前,债市短期内大幅调整的风险并不大。现阶段短债的确定性通常要优于长债,在宽货币维持、宽信用逐渐落地的过程中,信用债和可转债的性价比或逐渐提升。
中欧基金认为,市场修正了对此前宽信用斜率的估计,在央行表态继续维持流动性充裕的基础上,10年期国债利率大幅下行。随着复工复产持续推进,从票据贴现量和政府债净融资来看,利率下行遇到颇多阻力。建议久期继续维持中性,杠杆在6月中旬之前尚可保持积极。
从为数不多的下跌债基来看,5月跌幅超过1%的债基数量仅有7只,绝大多数都属于小幅波动范围。泰达宏利交利债券C以-3.92%的收益率垫底,该基金一季报显示,其主要持有金融债、中期票据、企业短期融资券,前五大持仓债券为21国开、20国开、21中车、22国债01、20平安。尽管如此,基金经理在一季报里表示,展望今年二季度,债市核心矛盾仍在于宽信用预期与现实的博弈。其认为,无论是财政政策、货币政策还是产业层面的各项监管政策,都保有进一步放松空间,具体的放松程度仍取决于基本面的走势,但是GDP增速目标的实现是较为确定的,故对2022年经济基本面不必过于悲观。
其余跌幅靠前的债基还有金鹰添荣纯债债券C、金鹰添荣纯债债券A、永赢双利债券C、永赢双利债券A、安信永泰定开债券、天治稳健双盈债券,分别为-1.61%、-1.23%、-1.13%、-1.10%、-0.92%、-0.77%,这些基金均已国债、金融债为主。
展望后市债券投资机会,摩根士丹利华鑫基金助理总经理、固定收益投资部总监兼基金经理李轶表示,总体上国内货币政策仍将“以我为主”,随着后续内外部压力的释放,政策空间将打开,未来国内债券市场仍然存在配置价值。李轶认为,短端利率在相当长一段时间内可能仍将维持在中性偏低位置,考虑到经济结构调整情况,需要耐心等待市场调整带来的交易机会。
华泰柏瑞固定收益部副总监何子建表示,预期全年货币环境大概率会维持在相对宽松的状态,这无论对中短债产品还是中长期纯债产品都提供了一个相对有利的投资环境。
“当前,市场的利差水平以及融资成本对中短久期信用债品种更为友好。在底层资产配置上,会倾向于选择比较优质的中短久期、高等级信用债,以此来追求相对稳定的静态收益。除了做一些信用债配置以外,也会在投资限制范围内,充分运用仓位优势,选择多种灵活的投资策略,比如短久期、杠杆、骑乘策略等,力争提升组合的整体收益水平。另外,投资者可能也会比较关注债券资产的信用风险问题。”何子建说。
5月份债券型基金涨跌幅前100名一览
数据来源:同花顺(规模截止日期:2022年3月31日)